Xiao Yang, Institute of Engineering Thermophysics, Chinese Academy of Science, Beijing 100190, China; Nanjing Institute of Future Energy System, Nanjing 211135, Jiangsu, China; Key Laboratory of Long-Duration and Large-Scale Energy Storage, Chinese Academy of Sciences, Beijing 100190, China. E-mail: yangxiao@iet.cn
Ting Zhang, Institute of Engineering Thermophysics, Chinese Academy of Science, Beijing 100190, China; Nanjing Institute of Future Energy System, Nanjing 211135, Jiangsu, China; School of Engineering Science, University of Chinese Academy of Sciences, Beijing 100049, China; Key Laboratory of Long-Duration and Large-Scale Energy Storage, Chinese Academy of Sciences, Beijing 100190, China; School of Energy Power and Intelligent Manufacturing, University of Chinese Academy of Sciences, Nanjing, Nanjing 211135, Jiangsu, China. E-mail: zhangting@iet.cn
Abstract
Thermal Hall effect (THE) refers to the phenomenon whereby, in a magnetic field, when a longitudinal heat current flows through a material, the heat carriers are deflected, thereby generating a transverse temperature difference between the two lateral edges. The transition from electrical to thermal transport enables this effect to involve a wide range of carriers, thereby providing a unique perspective for investigating complex quantum states in condensed matter physics. THE is increasingly becoming a powerful probe of neutral excitations in materials and is used to explore multifield control phenomena in magneto-thermal-electrical coupled systems. Advances in the field of THE have significantly advanced the study of condensed matter systems under extreme conditions (low temperatures and strong magnetic fields) and have laid the groundwork for exploring novel magneto-thermal-electrical effects in quantum materials. This review systematically reviews recent theoretical and experimental progress on THE, with particular attention to the underlying heat carriers. Through an in-depth analysis of the transport mechanisms of different carriers, quantum material systems that can be used to investigate multicarrier coupled transport are identified, which will significantly facilitate the synergistic control of magneto-thermal-electrical transport in complex interacting systems. Finally, we propose a novel in situ, multiparameter integrated characterization method that enables simultaneous and precise measurement of magnetic, thermal, and electrical parameters on the same micro/nanoscale samples. This approach not only overcomes the limitations of bulk materials but also serves as a key experimental platform for revealing the mechanisms of multicarrier coupled transport in micro/nano samples.
Graphical Abstract
Keywords
1. Introduction
Energy and the environment have long been major challenges that human society must address. The development and application of thermal, electrical, optical, and magnetic functional materials, such as adiabatic insulation[1], enhanced heat transfer[2], efficient thermoelectric conversion and storage[3-5], optoelectronic conversion and storage[6-8], and magnetocaloric utilization[9,10], are fundamental and crucial to improving energy efficiency and reducing environmental pollution. Research has shown that methods such as low-dimensional structuring[11-13] and external field control[14-17] are currently the most direct and effective ways to enhance the performance of functional materials. External field control includes techniques like magnetic fields, electric fields, electrostatic doping, and ionic intercalation, with magnetic fields being widely used due to their simplicity and effectiveness. When a current-carrying conductor is subjected to a perpendicular magnetic field, the free electrons within the conductor experience a Lorentz force that generates a transverse voltage, known as the Hall effect. Initially, researchers believed this phenomenon was due to the deflection of electrons under the Lorentz force. However, with the discovery and explanation of the quantum Hall effect[18,19], nonzero Berry curvature has been identified as the fundamental cause of the transverse velocity. According to topological band theory[20-22], carriers can acquire a transverse velocity from nonzero Berry curvature, regardless of carrier type. Therefore, in addition to electrons, neutral carriers such as photons, phonons, magnons, and excitons may also exhibit the Hall effect, as long as they possess nonzero Berry curvature[23-34]. When carriers transport heat, the thermal Hall effect (THE) may occur under the influence of a magnetic field. This effect manifests as a transverse temperature gradient across the sample when a longitudinal heat current is applied in the presence of a magnetic field. It is the thermal counterpart of the Hall effect and was first reported by physicists Righi and Leduc in 1887[35].
The conventional Hall effect applies exclusively to charged systems, in which carriers are deflected by the Lorentz force. However, for THE, in addition to electrons, which can carry heat, other heat carriers such as photons (which mediate electromagnetic interactions), phonons (which are lattice vibration excitations), magnons (which are collective spin oscillations), and excitons (which result from the coupling of electrons and holes) also contribute to thermal transport. Numerous mechanisms can generate nonzero Berry curvature in these carriers, thereby giving rise to THE. For example, spin-lattice interactions[36-38], Dzyaloshinskii-Moriya (DM) interaction[27-29,31,32,39], among others. In addition to Berry curvature, other factors can also lead to significant thermal Hall signals, such as phonon scattering in SrTiO3[40], phonon chirality in cuprates[41], and scalar (spin) chirality in kagome ferromagnets[42], among others. The transition from electrical to thermal greatly expands the range of applicable materials, and the numerous mechanisms greatly increase the probability that THE will occur. This means that THE can be observed not only in metals and semiconductors, but also in various types of insulating and other materials. Therefore, for studies of energy-transport mechanisms involving multiple particles, THE provides a more general framework. It is regarded as a powerful probe of carrier transport within materials and is of great significance for the development of high-performance functional devices and for elucidating the coupled transport among magnetic, optical, thermal, and electronic carriers[43,44]. In addition, it advances the refinement of condensed-matter theory. As a powerful tool for exploring phonon chirality[41,45,46], spin properties[27,29-32,39,42,47,48], and multiphysics coupling among magnetism, optics, heat, and electricity[49,50] THE will drive the development of high-performance thermoelectric[51], optoelectronic[52], ferroelectric[53], and ferromagnetic materials[54], and will spur innovation and enable applications in efficient energy management[55,56], next-generation spintronic chips[57,58], and magnetic storage devices[59].
THE offers many advantages for probing neutral excitations in materials, but owing to the weak experimental signal and the complexity of the microscopic mechanisms, it remains challenging for both experiments and theory. Because the experimental signal is weak, measurements must enhance the thermal Hall signal while suppressing background contributions, and many external factors, such as sample variability, environmental noise, and contact geometry, can significantly affect the experimental results[60]. The large gap between theoretical studies and experimental observations calls for refining theoretical models and designing targeted experiments. In addition, due to scale effects and structural influences, micro/nanoscale materials exhibit more pronounced quantum effects and markedly different carrier transport characteristics[61,62], which merit in-depth exploration. However, existing experimental measurements are concentrated on macroscopic materials, and the significant property differences between macroscopic and micro/nano materials impose substantial challenges for experimental design. Nevertheless, researchers have obtained encouraging experimental results and proposed a variety of theoretical models. This paper aims to classify the carriers responsible for THE and to summarize recent theoretical and experimental advances on THE, as shown in Figure 1. Building on the transport mechanisms and experimental methods of different carriers, we identify candidate materials for studying coupled transport involving multiple carriers. In view of the urgent needs of multicarrier coupled-transport mechanisms and experimental studies, we propose an in situ, multiparameter magneto-thermal-electrical integrated characterization method suitable for micro/nano materials. This method can obtain, on the same specimen in a single run, multiple magnetic, thermal, and electrical parameters, including κxy, σ, S, and RH, thereby laying an experimental foundation for the precise characterization of THE in micro/nanoscale materials, the development of high-performance materials and devices, and the study of multicarrier coupled-transport mechanisms.
2. Research Status of Thermal Hall Effect
Current research on THE remains in a nascent stage. Both experimental measurements and theoretical studies have thus far focused only on specific individual materials, lacking a consolidated theoretical framework and reliable multi-dimensional, cross-scale characterization techniques. This article classifies the research based on the carriers responsible for THE within materials, electrons, photons, phonons, magnons, excitons, and other carriers, to organize and discuss recent advances in experimental measurements and theoretical studies of THE. Research concerning materials where the dominant carriers are contentious is also supplemented and discussed at the end of this section.
2.1 Electron
Electrons, as the most common carriers, can carry charge to produce the electrical Hall effect and can also carry heat to affect THE. The electrical Hall effect denotes the phenomenon whereby, under a magnetic field, charged carriers are deflected by the Lorentz force, thereby generating a transverse potential difference, and it is widely applied in particle concentration measurement[63,64], automatic control[65,66], and information technology[67-69].
Less than a decade after the first discovery of the electrical Hall effect, Leduc and co-workers reported a similar phenomenon in the thermal transport of metals[48], namely, THE. This represents the contribution of electrons to the transverse thermal conductivity (κxy) and is another consequence of the Lorentz force acting on free electrons. In 1975, Newrock et al.[70] measured the thermal magnetoresistance of potassium samples in a 1.8 T magnetic field at temperatures between 2 and 9 K. The experimentally observed thermal magnetoresistance could not be explained by semiclassical theory or by combining electrical magnetoresistance together with the Wiedemann–Franz law. They found that the lattice thermal conductivity accounts for a portion of the quadratic-in-field thermal resistivity; after subtracting the lattice contribution, the Lorenz number still depends on the field strength and decreases as the field increases. This indicates the presence of other “intrinsic” electronic mechanisms beyond the lattice contribution that require further clarification. Building on this, Tausch et al.[71] measured the Righi–Leduc coefficient of potassium samples in the same low-temperature range under a higher magnetic field (9T). The experimental results show that even after correcting the Righi-Leduc coefficient for the lattice contribution, the data still deviate substantially from the Wiedemann–Franz law. These results collectively indicate that, in addition to the lattice contribution, other mechanisms influence the experimental observations.
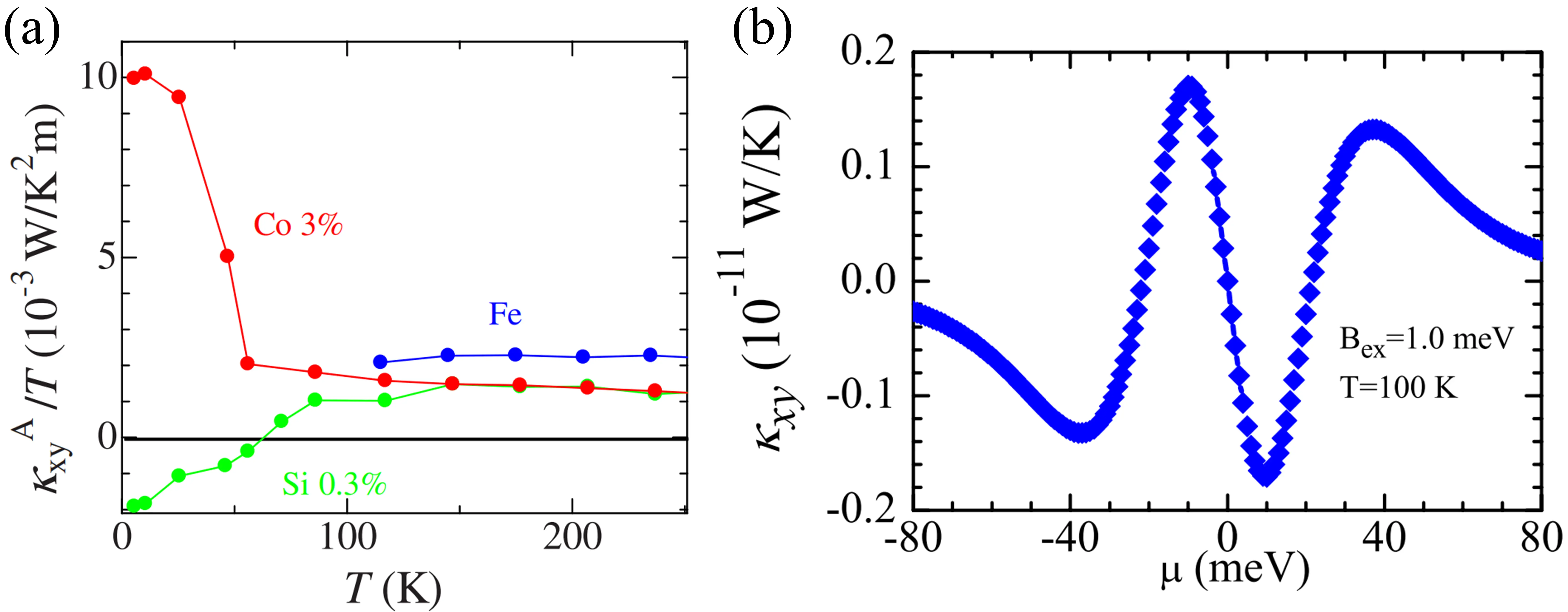
With the deepening of research, the composition of anomalous transverse responses in ferromagnetic metals has gradually become clear. In Fe, Co, and Ni, the total κxy can experimentally be decomposed into an intrinsic term (anomalous velocity caused by Berry curvature) and extrinsic terms (skew scattering and side jump). Onose et al.[72] first verified this view in Ni-based metals by comparing the temperature dependence of the Lorenz number and thereby confirming the “dissipationless” nature of the intrinsic anomalous Hall current. Furthermore, Shiomi et al.[73] simultaneously measured the thermal Hall conductivity and electrical Hall conductivity in pure and doped iron, and confirmed, in the low-temperature clean-limit regime[74], the anomalous Hall effect (AHE) dominated by skew scattering. As the temperature decreases, the anomalous component of the thermal Hall conductivity exhibits different trends in the Si-doped and Co-doped samples, depending on the impurity type and concentration, as shown in Figure 2a. Together with the low-temperature behavior of the Lorenz number L [L = κ/(σT)], the “dissipationless intrinsic term” and the “dissipative extrinsic term (skew scattering)” in AHE can be distinguished. Going further, Baek et al.[75] performed first-principles calculations for Fe/Co/Ni, providing the previously missing quantitative theoretical data. Comparison with experimental results shows that the sum of the “intrinsic term + side jump” reproduces the experimental data well in Fe and Co. The uniqueness of Ni confirms the significant influence of electron–phonon scattering on the anomalous thermal Hall effect (ATHE) and constitutes a key example of extrinsic contributions affecting ATHE. Furthermore, THE has also been observed in the kagome superconductor CsV3Sb5, in which electrons exhibit a pronounced thermal Hall response even in zero magnetic field and below the superconducting transition temperature[76].

Figure 2. (a) Pure and doped iron: The anomalous part of the thermal Hall conductivity (κAxy/T). Republished with permission from[73]; (b) Thermal Hall conductivity κxy of silicene as a function of chemical potential μ under the effective field Bex = 1 meV. T = 100 K and ∆z = 0. Republished with permission from[77].
In the realm of engineered two-dimensional materials, linear-response theory indicates that, owing to time-reversal (TR) symmetry, the transverse thermal conductivity vanishes. However, when an exchange field is present, TR symmetry is broken, and a finite electronic thermal Hall conductivity can be introduced in materials such as silicene (Figure 2b)[77]. In contrast, Zeng et al.[23] predicted that even in the presence of TR symmetry, electrons can generate a nonlinear ATHE. The anomalous thermal transport carried by electrons is induced by the intrinsic Berry phase within the semiclassical wave-packet formalism[35,78,79]. Owing to the symmetry of the Berry curvature Ωk in linear response[80,81], THE is compelled to vanish in TR-invariant systems. Yet in monolayer MoS2 in the 1H phase and in the polar semiconductors BiTeX (X = I, Br), the thermal Hall response is independent of the Berry curvature. On this basis, they proposed a nonlinear ATHE that remains nonzero even in TR-invariant systems. They derived analytical expressions for the nonlinear anomalous transport coefficients, filling the previous theoretical gap in nonlinear thermal Hall transport[82,83]. Finally, they computed the nonlinear anomalous thermal Hall coefficient of monolayer MoS2, which was validated in monolayer transition-metal dichalcogenides. The internal mechanisms and material platforms of the electronic THE have thereby been further elucidated.
As the most common energy-carrying particles, electrons can contribute to both the electrical Hall effect and THE. The electronic THE was first observed in metals and contributes to their transverse thermal response. During transport, electrons are typically deflected by the Lorentz force to acquire a transverse velocity; they can also exhibit anomalous transverse responses arising from intrinsic and extrinsic mechanisms. Researchers have shown that the electronic thermal Hall conductivity can be decomposed into intrinsic (Berry curvature driven) and extrinsic (skew scattering and side jump) contributions, and this has been confirmed in Fe, Co, and Ni. More specifically, in silicene under an exchange field, an electronic THE can arise, and TR symmetry is broken in this case. In contrast, researchers have also found an electronic THE in nonlinear systems that preserve TR symmetry. Considering only electronic contributions, the nonlinear anomalous thermal Hall coefficient in monolayer MoS2 was calculated, and an analytical expression was derived. Despite the numerous efforts made by scholars, some issues remain difficult to resolve. In practical measurements, materials such as metals, silicene, and MoS2 host both electrons and phonons, and moreover, stable excitons may exist in MoS2. How to effectively distinguish and measure the electronic contribution to the thermal Hall conductivity κxy, as well as the coupling mechanisms between electrons and other carriers, has become a key outstanding challenge. The Wiedemann–Franz law can be used to estimate the electronic part of κxy, but it fails in systems such as strongly correlated and topological materials. For instance, although TbCr6Ge6 retains metallic electrical behavior at low temperatures, the abrupt drop in its longitudinal Lorenz ratio reveals a decoupling of thermal and electrical transport, indicating that the system strongly deviates from the Wiedemann-Franz law[84]. Exploiting distinct temperature and magnetic-field dependences of different carriers may also achieve the goal of isolating the electronic contribution; however, in practice, numerous challenges in interactions, measurement techniques, and data processing make it difficult to reach ideal outcomes.
2.2 Photon
When electrons pass through a magnetic field, they experience the Lorentz force, thereby inducing THE. However, one might ask whether a similar phenomenon will manifest when the heat carriers within a material are neutral, such as photons, phonons, and magnons. Indeed, this is the case. Unlike electrons, neutral carriers are immune to the Lorentz force, and their transverse thermal transport is governed by entirely distinct microscopic mechanisms. In 1996, Rikken et al.[85] theoretically predicted that photons would be affected by a magnetic field when passing through a disordered scattering medium, and experimentally demonstrated the existence of the photonic Hall effect. The photonic Hall effect indicates that in the direction perpendicular to both the magnetic field and the incident light, the intensity difference of the light is proportional to the magnetic field strength, as described by the following equation:
Here, ∆I⊥ represents the normalized intensity difference of the light, Veff is the effective Verdet constant, and l* is the mean free path of photon scattering. Experimental measurements were made using CeF3 material with a volume fraction of 3.4% in glycerol, where the relationship between the normalized transverse magnetic photon flux and magnetic field amplitude was plotted (Figure 3a), confirming the existence of the photonic Hall effect. Duchs et al.[86] experimentally investigated the photonic Hall effect in an inverse medium composed of a magneto-optically active matrix and magneto-optically inert Mie scatterers. Experimental data (Figure 3b) indicate that the photonic Hall effect in the inverse medium is proportional to VBl*. Based on these findings, an empirical expression was proposed to unify the results obtained in both direct and inverse media (Mie scatterers). The photonic Hall effect is essentially the result of anisotropic light scattering induced by a magnetic field. In the presence of a magnetic field, incident light undergoes circular polarization[87], which subsequently causes a rotation in the Rayleigh mode of the differential scattering cross-section[88]. In multiple scattering processes, a transverse photon flux is generated. The above phenomena all pertain to optical transport; when thermal transport occurs within the material, what role do photons play in thermal transport?

Figure 3. (a) Relationship between the normalized transverse magneto-optical current ∆I⊥/I⊥ and magnetic field amplitude B at different temperatures for CeF3. Republished with permission from[85]; (b) Relationship between the normalized transverse magneto-optical current ∆I⊥/I⊥ and magnetic field amplitude B for the sample under test at different temperatures. Republished with permission from[86]; (c) Photon thermal Hall effect; (d) Relationship between the relative Hall temperature difference R and magnetic field H at Teq = 300 K for different separation distances. Republished with permission from[96].
Based on the theory of fluctuational electrodynamics, thermally radiated photons can generate a transverse heat flux, namely the photon THE, whose core mechanism lies in the breaking of TR symmetry. To fully comprehend this effect, it must be contextualized within the framework of many-body radiative heat transfer. Unlike classical two-body thermal radiation, heat exchange in a many-body system is governed by fluctuational electrodynamics, where the energy transfer between any two objects is modulated by the multiple scattering of photons and many-body interactions. This many-body effect profoundly alters the photonic local density of states and the nanoscale heat transport characteristics. Notably, in many-body systems composed of media such as magneto-optical materials or Weyl semi-metal, an applied magnetic field or the intrinsic topological band structure of the material induces antisymmetric off-diagonal elements in the dielectric tensor, thereby breaking TR symmetry. This symmetry breaking excites directional chiral electromagnetic modes within the system, leading to nonreciprocity in the photon transmission coefficients. Macroscopically, this mechanism not only manifests as a transverse heat flux induced by a longitudinal temperature gradient but also implies the existence of persistent heat currents under thermodynamic equilibrium. In recent years, researchers have extensively investigated this effect in specific systems. Guo et al.[89] discussed the photon THE and sustained heat flow in radiative heat transfer. They found a direct relationship between sustained heat flow[90] and the photon THE in a specific system with tetragonal rotational symmetry. The center of the sphere is located at the vertex of a square in the x-y plane, and a magnetic field is applied along the z-axis. The photon THE refers to the temperature gradient induced along the y-direction (T2 - T4) as a result of a temperature gradient applied along the x-direction (T1 - T3)[91]. In the near-equilibrium state, the magnitude of the photon THE is proportional to the temperature derivative of the sustained heat flow (S1→2 - S2→1) in the system. Therefore, the photon THE, which occurs away from equilibrium, can be used to probe the sustained heat flow predicted in the equilibrium state. However, it is worth noting that the connection between persistent heat currents and the photon THE has been questioned. Biehs et al.[92] demonstrated that although circulating heat currents exist in nonreciprocal systems in thermal equilibrium, these persistent heat currents cannot be detected via out-of-equilibrium heat transfer measurements. That is, the transverse temperature gradient observed in the photon THE may not directly reflect the persistent heat currents in thermal equilibrium. This assertion currently remains under debate and warrants further exploration. Ott et al.[93] prepared the same geometric structure using Weyl semi-metal (WSM)[94,95] and predicted the emergence of photon-induced ATHE in this structure. Unlike the photon THE in Mrzyglod et al.[88], which requires the application of an external magnetic field, the ATHE in WSM is an intrinsic property of the system and is comparable to the effect observed with an external magnetic field of B = 0.1 - 1 T. Notably, in this system, the local temperature field can be adjusted without altering the direction of the temperature gradient. The ATHE in WSM can be used to control the direction of radiative heat flux in nanoscale systems, without the need to apply a strong magnetic field. This opens up a new pathway for thermal management and heat flux guidance in nanoscale systems. Ben-Abdallah[96] systematically summarized the photon THE in the same magneto-optical particle network. When a magnetic field is applied along the z axis, a temperature gradient is generated in the y direction, as shown in Figure 3c. In this case, the symmetry of the system is broken. As shown in Figure 3d, for any separation distance d12, i.e., the distance between T1 and T2, when the magnetic field is zero, all particles are isotropic, and the relative Hall temperature difference ([R = (T2 - T4)/(T1 - T3)]) is zero. For a nonzero magnetic field, the symmetry of the system is broken, and a transverse temperature difference appears. The results show that in the near-field state, R maintains the same sign regardless of the magnetic field, while in the far-field region, the sign of R changes. This difference arises from the spatial variation of the electric field radiated by each particle itself. Building upon the aforementioned studies, Ben-Abdallah introduced a novel phenomenon: the inverse spin thermal Hall effect (ISTHE)[97]. While the conventional photon THE requires a longitudinal temperature gradient to generate a transverse heat flux, ISTHE is driven by a spatial gradient of the photon spin angular momentum (SAM). The author demonstrated this effect in a specific system of InSb nanoparticles subjected to a spatially varying magnetic field. The inhomogeneity of the magnetic field induces a variation in the photon SAM, which serves as the primary mechanism for generating the transverse temperature gradient. This finding not only completes the theoretical framework of thermal transport in nonreciprocal systems but also opens a new avenue for localized thermal management.
Photons and electrons share similar properties and can also contribute to THE. At the outset, researchers experimentally confirmed the existence of the photonic Hall effect and proposed an empirical expression that consistently describes experimental results in both normal and inverse media. Currently, researchers have focused on a specific system with fourfold rotational symmetry. By varying the material and measuring transverse heat flow with and without an applied magnetic field, the generation mechanism of THE in this system can be probed. The photon THE in such systems can probe persistent equilibrium heat currents, tune the magnitude of the local temperature field, and control the direction of nanoscale radiative heat flux, opening a pathway for thermal management in nanoscale systems[98]. Furthermore, ISTHE opens another promising pathway for achieving novel thermal management strategies. However, the photon thermal Hall signal is extremely weak; how to effectively enhance its detectability remains a challenge. Introducing resonant cavities or waveguide structures into the material could potentially increase the photonic local density of states, thereby enhancing the photon thermal Hall response. Additionally, exploiting magneto-optical polarization rotation in specific materials might increase the lateral deflection of heat flow, consequently boosting the thermal Hall signal. Yet, these methods require further validation in new materials and experiments; how to effectively improve experimental techniques and design experimental protocols remains the primary outstanding challenge.
2.3 Phonon
Phonons, as neutral quasi-particles, are widely present in various crystalline materials. Strikingly, despite lacking electric charge and thus being unaffected by the Lorentz force, phonons have been found to exhibit a significant THE in the presence of a magnetic field. This phenomenon has been observed in various systems including Tb3Ga5O12, SrTiO3, cuprates, (ZnxFe1-x)2Mo3O8, among others.
(1) Tb3Ga5O12
In 2005, Strohm et al.[99] first discovered that phonons exhibit a similar magnetically induced transverse thermal transport effect and experimentally demonstrated the existence of the phonon Hall effect (PHE) in Tb3Ga5O12 (TGG). Here, the PHE refers specifically to the phonon thermal Hall effect. The experiment measured the magnetic transverse phonon thermal Hall conductivity using the paramagnetic TGG crystal, with the experimental setup shown in Figure 4a. The sample dimensions were 15.7 × 5.7 × 0.67 mm3, and Figure 4b presents the isothermal lines of the sample under finite and zero magnetic field. The magnetic field strength was set to B = 0 T, the sample’s average temperature was T = 5.45 K, and the total applied heating power was j = 0.14 mW, generating a longitudinal temperature gradient of about 1 mK/cm. When the external magnetic field was perpendicular (circle) or parallel (square) to the heat flow, a temperature difference was generated in the transverse direction, as shown in Figure 4c. The results indicated that when the applied magnetic field was parallel to the heat flow, there was almost no transverse temperature difference. However, when the magnetic field was perpendicular to the heat flow, the transverse temperature difference was proportional to the applied magnetic field strength, consistent with THE observed for other carriers. The coefficient of PHE is equal to S = (∇yT/∇xT)/H ≈ 1 × 10-4 T-1, where ∇xT and ∇yT are the longitudinal and transverse temperature gradients, respectively. However, the sample in Ben-Abdallah[96] was an unoriented TGG sample, so the orientation of the vector ∇T and H with respect to the crystallographic direction was unknown, and the sign of PHE was not determined. Sheng et al.[36] proposed that the sign of this effect is negative, while Inyushkin et al.[100] provided experimental data that demonstrate a positive sign for PHE in TGG. The experimental setup is shown in Figure 4d, where 1 is the TGG crystal, 2 is the copper unit with the thermal controller, 3 is the heater used to generate the temperature gradient, and t1, t2, t3, and t4 are thermometers. The data obtained are shown in Figure 4e, where the coefficient S is three times lower than that reported by Ben-Abdallah[96]. This discrepancy may be due to the strong anisotropy of the heat flux associated with PHE.

Figure 4. (a) Schematic diagram of the experimental setup; (b) Isothermal lines of the sample under magnetic field and zero magnetic field; (c) Transverse temperature difference of heat flow in Tb3Ga5O12 when the magnetic field is perpendicular (circle) and parallel (square). Republished with permission from[99]; (d) Layout of the experimental setup and the direction of the heat flux in the sample; (e) Tangent of the Hall angle as the applied magnetic field (H = ±3T) changes direction. The symbol S denotes the coefficient of the phonon Hall effect. The vertical dashed lines correspond to the time when the magnetic field sign changes. Republished with permission from[100].
Shortly after the experimental demonstration of PHE, Sheng et al.[36] conducted theoretical studies on TGG. They proposed that the rare-earth ions Tb3+ possess a large magnetic moment with paramagnetic properties, which could potentially be the cause of spin-lattice interaction. However, the magnetic ordering of TGG does not occur at temperatures as low as 0.2 K[101], indicating that interatomic spin interaction might be very weak. Therefore, they neglected spin-spin interaction and focused on the Raman interaction as the dominant mechanism underlying PHE. They proposed a theoretical model for the Raman spin-lattice interaction to account for PHE. Using this model, they calculated the phonon thermal Hall conductivity, κxy, which matched the experimental data well, as shown in Figure 5a. In the figure, the horizontal axis (KM/ωD) denotes the ratio of the Raman spin–lattice interaction energy scale (KM) to the Debye frequency (ωD), and δ = cL/cT is the sound-velocity ratio of longitudinal to transverse modes. Furthermore, Michiyasu et al.[102] suggested that PHE in TGG materials is caused by the phonon resonance scattering due to the superstoichiometric Tb3+ ion crystal field states. This scattering arises from the coupling between the quadrupole moment of Tb3+ ions and the lattice distortion, and the calculated values are consistent with the experimental data reported by Düchs et al.[86] at T = 5 K (Figure 5b). In summary, PHE in TGG has two distinct interpretations, and the dominant mechanism remains unclear and requires further experimental validation.

Figure 5. (a) The functional relationship between the thermal Hall conductivity κxy and KM/ωᴅ for different δ values. Republished with permission from[36]; (b) Magnetic field dependence of the thermal Hall conductivity κxy [10-5 W/cm/K]. The inset shows the magnetic field dependence of κxy [10-5 W/cm/K] at T = 5 K. Republished with permission from[102].
(2) SrTiO3
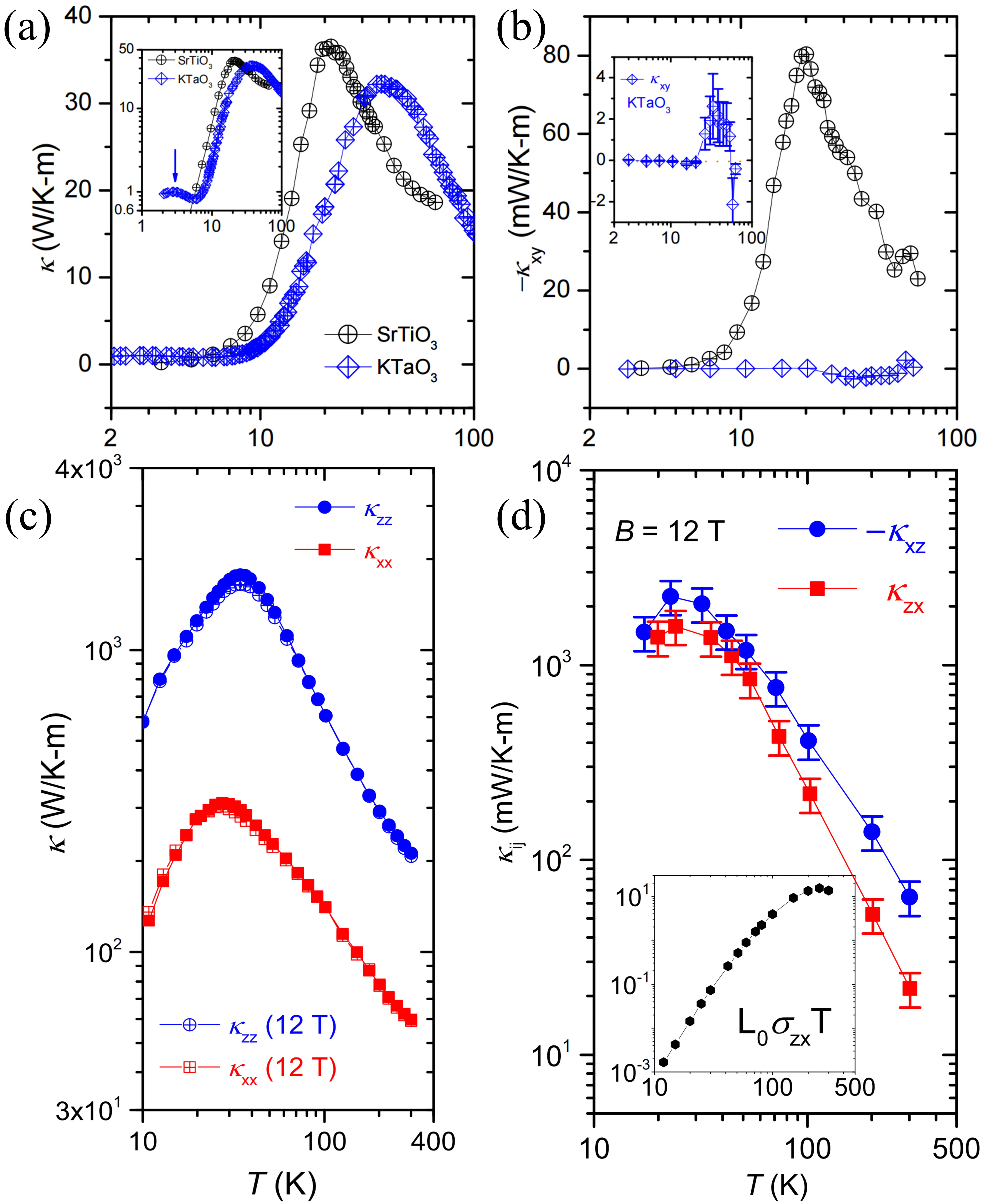
The thermal Hall conductivity κxy in TGG materials is very weak, making it insufficient for practical applications. It wasn't until Li et al.[40] discovered a giant thermal Hall conductivity, κxy, in the non-magnetic insulator SrTiO3, thereby overcoming this limitation. The peak thermal Hall conductivity reached -80 mW·K-1·m-1 at a magnetic field strength of 12 T, about twice that reported for cuprates[41]. The SrTiO3 sample has dimensions of 5 × 5 × 0.5 mm3. As shown in Figure 6a,b, both the longitudinal thermal conductivity κ and the thermal Hall conductivity κxy reach their maxima at the same temperature, indicating that phonons are the dominant internal transport carriers. To clarify the source of the giant thermal Hall conductivity, thermal transport was measured in KTaO3 materials. Compared to SrTiO3, KTaO3 does not undergo the antiferrodistortive transition[103]. As seen in Figure 6b, the thermal Hall conductivity of KTaO3 is much smaller than that of SrTiO3, indicating that the domain walls generated after antiferrodistortive transitions are responsible for scattering phonons and causing transverse deflection. However, its thermal Hall conductivity is negative, significantly deviating from the Wiedemann-Franz law, which requires further investigation. To further explore the unexpectedly large thermal Hall conductivity in SrTiO3, Chen et al.[104] theoretically examined the conditions under which phonons are induced to generate transverse velocities. Initially, considering only the intrinsic contributions, the resulting values were several orders of magnitude smaller than the experimental data. When defects were assumed, such as domain walls created after the antiferrodistortive transition, the thermal Hall conductivity increased significantly, reaching the experimental magnitude. This indirectly supports the idea that the domain walls generated after antiferrodistortive transitions are the primary cause of phonon scattering and transverse deflection. A similar non-magnetic insulator to SrTiO3 is black phosphorus (BP), where phonons are believed to be the only collective excitation in both materials. The transverse and longitudinal thermal conductivity of BP peak at the same temperature, and their values are approximately three orders of magnitude higher than those of any other insulator, as shown in Figure 6c,d[105]. Despite the absolute magnitude of the thermal conductivity varying over three orders of magnitude, the thermal Hall coefficient is similar to that of other phonon materials, ranging between 10-4 and 10-3 T-1. Furthermore, Li et al.[106] observed an in-plane THE in black phosphorus, thereby proposing a novel phonon interaction mechanism. Additionally, Zhou et al.[26] found that under non-resonant circularly polarized light, BP thin films can also exhibit THE. This anomalous effect exists even in the absence of an external magnetic field and is driven solely by the effective magnetic field induced by the Berry curvature. This discovery provides a feasible method to achieve a finite Berry curvature and suggests the possibility of a topological phase in BP thin films.

Figure 6. (a) Longitudinal thermal conductivity κ of SrTiO3 and KTaO3, with the inset showing a logarithmic plot; (b) thermal Hall conductivity κxy of SrTiO3 and KTaO3, with the inset showing an enlarged signal for KTaO3. Republished with permission from[40]; (c) Transverse thermal conductivity κ of BP in different directions; (d) Thermal Hall conductivity κzx and κxz of BP. Republished with permission from[105]. The horizontal axes in the figures all represent the absolute temperature T (K).
(3) Cuprates
Cuprates are another class of materials where phonons induce a large thermal Hall conductivity. Grissonnanche et al.[41] reported the giant κxy in four different cuprates, which has attracted widespread attention in the field. The four cuprates are La1.6-xNd0.4SrxCuO4 (Nd-LSCO), La1.8-xEu0.2SrxCuO4 (Eu-LSCO), La2-xSrxCuO4 (LSC O), and Bi2Sr2LaxCuO6+δ (Bi2201), with doping concentrations ranging from p ≈ 0 for the Mott insulator to p = 0.24 for the overdoped metal. For both Nd-LSCO and Eu-LSCO, the critical doping concentration is p* = 0.23. When the doping concentration is below the pseudogap critical point, they observed that the κxy of Nd-LSCO becomes negative at low temperatures; however, when the doping concentration exceeds the critical doping level (p = 0.24), the thermal Hall conductivity κxy becomes positive at low temperatures, as shown in Figure 7a. The data for Eu-LSCO at p = 0.24 and p = 0.21 are similar to those of Nd-LSCO, as shown in Figure 7b. This indicates that negative κxy is a characteristic of the pseudogap phase in cuprates. Additionally, the κxy data of another material, Bi2201, show behavior very similar to Nd-LSCO and Eu-LSCO when p < p*, as shown in Figure 7c. Therefore, the negative thermal Hall conductivity at low temperatures is a general feature of the pseudogap phase and is independent of the material type. The negative κxy signal in cuprates is unrelated to magnetic ordering, ruling out the possibility of magnon excitations. To further investigate the source of the giant thermal Hall signal in cuprates, Grissonnanche et al.[45] experimentally verified that the cause of this thermal Hall response must be phonons, with the mechanism originating intrinsically. First, the charge carriers cannot come from p = 0 because such large κxy can also be observed in the undoped Mott insulator La2CuO4 (Figure 7d). Therefore, it must come from spin-related excitations[107,108] or phonons[104]. To distinguish between these two types of heat carriers, the authors employed a simple method: they applied heat fluxes along the c-axis and a-axis, respectively, and observed the values of κzy(T) and κxy(T), since only phonons are likely to move easily along the c-axis. The authors applied heat fluxes along both directions and measured materials with different doping levels. When the doping concentration is p = 0.24, which is outside the pseudogap phase (p > p*; Figure 7e,g), the thermal conductivity κzy(T) = 0, indicating that phonons do not exhibit chirality. When the doping concentration is p = 0.21, within the pseudogap phase (p < p*; Figure 7f), the thermal conductivity κzy(T) < 0, indicating that phonons possess chirality. κzy and κxy within the pseudogap phase are of the same order of magnitude, indicating that the source of the thermal Hall signal in cuprates is phonons. However, the mechanism by which phonons acquire chirality within the pseudogap phase is still unclear and requires further research. Currently, there are two proposed methods for phonons to acquire chirality: coupling with spin or scattering by impurities or defects, but there is no systematic evidence supporting either hypothesis. Ataei et al.[46] introduced rhodium impurities into the antiferromagnetic insulator Sr2IrO4, attempting to provide evidence for phonon impurity scattering. Currently, researchers have demonstrated that rare-earth impurities and domain structures do not account for phonon scattering in cuprates. Based on this, two possible hypotheses were proposed: (1) Phonon coupling to electronic states breaks TR symmetry, which would occur in the pseudogap phase of cuprates[109]; (2) Phonon coupling to short-range antiferromagnetic correlations, with experimental evidence including the observation of a change in the Fermi surface at p* under an applied magnetic field[110], and a reduction in carrier density observed near p*[111-113]. Notably, recent work by Chen et al.[114] discovered a surprising "planar" THE in cuprates, where THE is observed even when the magnetic field is parallel to the heat flow. The authors observed a planar Hall response in cuprates NCCO (x = 0.04), which was comparable in magnitude to the conventional Hall response. When H = 15 T, even under the condition H ||J|| a (a is the direction of heat flow), κxx and κxy showed the same order of magnitude as the longitudinal thermal conductivity, as shown in Figure 7h,i. Both have the same temperature dependence and peak at the same temperature. This trend demonstrates that the quasi-particles generating the planar thermal Hall conductivity κxy in NCCO are phonons, and the planar thermal Hall signal arises from local symmetry breaking, possibly associated with impurities, defects, or domains. To further investigate, Kavokin et al.[115] attempted to establish a simple model to reveal the common mechanism behind the experimental observations, mainly focusing on the shared features of κxy (negative values and superlinear temperature dependence). They approached the problem from thermodynamics, using fluctuation theory to derive the analytical expression for the thermal Hall conductivity κxy in general metals and superconductors, suggesting that THE is determined by the rate of change of the chemical potential μ with temperature (dμ/dT) and the rate of change of the system’s magnetization M with temperature (dM/dT). Thus, it has been demonstrated that the heat carriers in cuprates are phonons, and two hypotheses have been proposed to explain how these phonons acquire chirality. However, the nature of the pseudogap phase in cuprates remains elusive, with no consensus reached regarding its fundamental properties. Meanwhile, recent simulations and theoretical analyses have overturned the conventional linear spin-wave no-go theorem, demonstrating that magnon-magnon scattering alone can induce a substantial intrinsic thermal Hall effect in square-lattice Mott insulators[116]. This finding suggests that when discussing thermal transport in insulating magnets such as cuprates, the contribution of magnons should not be excluded a priori, warranting further in-depth exploration. Moreover, the experimental thermal Hall signals observed by Hu et al.[117] in cuprates are more than an order of magnitude smaller than previously reported values. This discrepancy in magnitude raises new questions and poses challenges in understanding THE in this system.

Figure 7. (a)Thermal Hall conductivity κxy/T of Nd-LSCO at H = 18 T; (b) Thermal Hall conductivity κxy/T of Eu-LSCO at H = 15 T; (c) Thermal Hall conductivity κxy/T of Bi2201 at H = 15 T. Republished with permission from[41]; (d)-(g) Thermal Hall conductivity κny/T of cuprates at three different doping levels: (d) La2CuO4 (p = 0); (e) Nd-LSCO (p = 0.24); (f) Nd-LSCO (p = 0.21); (g) Eu-LSCO (p = 0.21). Republished with permission from[45]; (h) Longitudinal thermal conductivity κxx of NCCO (x = 0.04); (i) Thermal Hall conductivity κxy of NCCO (x = 0.04). Republished with permission from[114]. The horizontal axes in the figures all represent the absolute temperature T (K).
Boulanger et al.[118] studied two other cuprate Mott insulators, Nd2CuO4 and Sr2CuO2Cl2, and found that they exhibit a similar negative κxy as La2CuO4, with results shown in Figure 8a,b,c,d,e,f. The trend of -κxy and κxx as a function of temperature is similar, both reaching a peak at approximately T ≈ 25 K. At T = 20 K, the magnitude of κxx in Nd2CuO4 is eight times that in Sr2CuO2Cl2, and correspondingly, |κxy| increases by a factor of 10. This provides strong evidence for phonons as the thermal transport carriers.

Figure 8. Thermal conductivity of three Mott insulators. Left side: Longitudinal thermal conductivity κxx: (a) La2CuO4; (c) Nd2CuO4; (e) Sr2CuO2Cl2. Right side: Thermal Hall conductivity κxy: (b) La2CuO4; (d) Nd2CuO4; (f) Sr2CuO2Cl2. The horizontal axes in the figures all represent the absolute temperature T (K). Republished with permission from[118].
(4) (ZnxFe1-x)2Mo3O8
Ideue et al.[38] also discovered a giant thermal Hall response in another magnetic insulator (ZnxFe1-x)2Mo3O8. (ZnxFe1-x)2Mo3O8 is a multiferroic material, whose crystal structure shown in Figure 9a, forming a honeycomb lattice within each magnetic layer. The arrows in the figure indicate the DM vectors between adjacent sites, pointing in-plane. Since only DM vectors parallel to the magnetization direction can generate magnon Hall effect[119], there is no magnon Hall effect resulting from DM interaction. Figure 9b,c,d show the thermomagnetic transport properties of (ZnxFe1-x)2Mo3O8. From Figure 9b, it is evident that the specific heat C is scarcely influenced by the magnetic field B and is proportional to T3 at low temperatures. This indicates that thermal transport at low temperatures is predominantly phonon-dominated, and the magnetic field does not affect the phonon population. However, this contradicts the trend of the longitudinal thermal conductivity κxx (Figure 9c), a phenomenon the authors attribute to strong lattice-spin interactions within the material. The thermal Hall conductivity κxy changes markedly on either side of TN = 50 K, as shown in Figure 9d. When the temperature is below TN, κxy rapidly reaches a maximum and then decreases slowly with the magnetic field; above TN, κxy increases gradually with the magnetic field. This indicates that κxy in different temperature regimes originates from distinct mechanisms, phonon transport changes qualitatively, and further experimental investigation is required.

Figure 9. Crystal structure and thermal magnetic properties of (ZnxFe1-x)2Mo3O8. (a) Crystal structure, with black arrows representing the DM vectors; (b) Temperature dependence of the specific heat; (c) Temperature dependence of the longitudinal thermal conductivity κxx; (d) Magnetic field dependence of the thermal Hall conductivity κxy. Republished with permission from[38]. DM: Dzyaloshinskii-Moriya.
(5) Other materials
In the aforementioned magnetic insulators, the longitudinal thermal conductivity κxx is the sum of spin and phonon contributions, κxx = κspxx +κspxx. To distinguish between phonon and spin contributions to THE, Sugii et al.[37] studied the thermal Hall signal in the insulating material Ba3CuSb2O9 (BCSO). Due to the strong spin-lattice coupling and the presence of a spin gap in BCSO, it serves as an ideal compound for studying phonon quasi-particles. Below the temperature Tg ≈ 50 K, a spin-singlet state opens a spin gap[120], which allows the phonon properties to be detected when spin excitations are gapped out. BCSO is a transparent insulator, consisting of a honeycomb network of Cu2+ ions. The κxy is negative over the entire temperature range, peaks around 50 K, and decreases at lower temperatures (Figure 10a). The temperature dependence of κxy at low temperatures gradually approaches κxy ∝ T2, which does not align with previous theoretical models, and further investigation is needed to clarify the origin of the T2 dependence in κxy. Additionally, Chen et al.[121] studied another simpler material: Cu3TeO6, a cubic antiferromagnetic insulator. In Cu3TeO6, at T = 20 K and H = 15 T, the thermal Hall conductivity reaches an astounding 1 W·K-1·m-1, which is 50 times greater than that of Sr2CuO2Cl2. As shown in Figure 10b,c, κxy and κxx of this material both reach their peaks at T = 17 K, indicating that κxy is primarily carried by phonons. Furthermore, although the κxy and κxx of Cu3TeO6 are much larger than those of typical materials, its thermal Hall angle |κxy/κxx| is the same as that of the other insulators. Moreover, when the temperature exceeds the Néel temperature TN = 63 K, the magnetic magnons vanish, but the thermal Hall conductivity remains unchanged (Figure 10d), and the trend of |κxy/κxx| does not change. Therefore, THE in Cu3TeO6 is phonon-induced.

Figure 10. (a) Thermal Hall conductivity κxy as a function of temperature. Republished with permission from[37]; (b) Longitudinal thermal conductivity κxx of Cu3TeO6 at zero field (open circles) and at magnetic field H = 15 T (solid circles); (c) Thermal Hall conductivity κxy of Cu3TeO6 at H = 15 T, inset shows κxy/H at 10 T and 15 T; (d) Comparison of the thermal Hall conductivity κny (both κxx and κxy) of Cu3TeO6. Republished with permission from[121]. The horizontal axes in the figures all represent the absolute temperature T (K).
PHE is widely observed in various insulating materials. In the non-magnetic insulator SrTiO3, phonons are the dominant heat carriers, and experiments reveal a large thermal Hall conductivity. Its internal mechanism is basically clear: the thermal Hall signal originates from phonon scattering by domain walls induced by the antiferrodistortive transition. Materials similar to SrTiO3 include BP, where phonons are the sole collective excitation mode. Subsequently, PHE has been widely observed in materials such as Tb3Ga5O12, cuprates, Cu3TeO6, and (ZnxFe1-x)2Mo3O8. The thermal Hall signals in these materials are phonon-dominated, but the mechanism by which phonons acquire transverse drift velocity within the materials remains unclear. Current explanations for the mechanism in Tb3Ga5O12 mainly include two main scenarios: Raman spin-lattice interaction and phonon resonance skew scattering caused by superstoichiometric Tb3+ ions. However, which mechanism is operative, or how these scenarios are related, remains undetermined. The mechanism by which phonons in cuprates acquire chirality and generate transverse velocity is still unclear, and two proposed hypotheses await verification. To address these issues, some studies have proposed that PHE is a universal property intrinsic to non-magnetic insulators[122]. Based on observations of a wide range of materials including SrTiO3, SiO2, MgO, MgAl2O4, Si, and Ge, they suggested the existence of a universal PHE in crystalline materials, with their thermal conductivity κxy all obeying the universal scaling law κxy ∝ κxx2, as shown in Figure 11a,b,c. They argued that this universal PHE is influenced by domain wall scattering in SrTiO3, by skew scattering from magnetic ions in Tb3Ga5O12, and by short-range magnetic fluctuations in cuprates. Furthermore, experiments on non-magnetic control samples confirm that the extrinsic impurity skew scattering mechanism dominates in both pure-phonon and magnetic-resonance-enhanced phonon thermal transport[123]. This finding provides an effective means to distinguish between the intrinsic and extrinsic contributions to the phonon THE. However, this perspective still fails to explain how the phases evolve across the critical doping (p*) in cuprates or what distinguishes them. The nature of the pseudogap phase remains enigmatic.

Figure 11. Scaling law of PHE in various materials. (a)SiO2; (b)MgO; (c) The scaling law for non-magnetic insulators and semiconductors; (d)La2CuO4; (e)Nd2CuO4. Republished with permission from[122].
As shown in Figure 11d,e, most magnetic insulators do not follow the aforementioned universal scaling law. From existing experimental data, the thermal Hall angle of PHE remains around 10-3 regardless of material, maintaining consistency even in the magnetic insulator Cu3TeO6, as shown in Table 1. This characteristic is considered a hallmark of PHE, and is also regarded as the degree of chirality acquired by phonons, aiding in distinguishing PHE in materials with multiple heat carriers.
| Material | Κxy × 10-3 (W K-1m-1) | κxx (W K-1m-1) | |κxy/κxx| × 10-3 | T (K) | H (T) | Reference |
| Tb3Ga5O12 | 0.1 | 0.5 | 0.2 | 5.45 | 4 | [96] |
| SrTiO3 | -80 | 36 | -2.2 | 20 | 12 | [40] |
| KTaO3 | 2 | 32 | 0.06 | 30 | 12 | [40] |
| BP | 2,200 | 311 | 7.07 | 27 | 12 | [102] |
| La2CuO4 | -38 | 12 | -3.2 | 20 | 15 | [41] |
| LSCO | -30 | 5.1 | -5.9 | 15 | 15 | [41] |
| Eu-LSCO | -13.2 | 4.5 | -2.9 | 15 | 15 | [41] |
| Sr2CuO2Cl2 | -21 | 7 | -3 | 20 | 15 | [112] |
| Nd2CuO4 | -200 | 56 | -3.6 | 20 | 15 | [112] |
| Fe2Mo3O8 | 12 | 2.5 | 4.8 | 65 | 14 | [38] |
| Fe2Mo3O8 | 27 | 4.0 | 6.7 | 45 | 10 | [38] |
| Fe2Mo3O8 | 24 | 9 | 2.7 | 45 | 14 | [38] |
| (Zn0.125Fe0.875)2Mo3O8 | 30 | 7.9 | 3.8 | 30 | 0.1 | [38] |
| (Zn,Fe)2Mo3O8 | 24 | 10 | 2.4 | 30 | 9 | [38] |
| Ba3CuSb2O9 | 0.008 | 0.07 | 0.1 | 5 | 15 | [37] |
| Cu3TeO6 | -1,000 | 330 | -3 | 20 | 15 | [115] |
BP: black phosphorus.
2.4 Magnon
Magnons are collective low-energy excitations in magnetic materials[124], and they have attracted significant attention in the field of spintronics[125]. In 2010, Katsura et al.[42] first theoretically predicted the existence of the magnon Hall effect and proposed the theory of THE in insulating quantum magnets. The magnon Hall effect refers to THE dominated by magnons. Under the influence of a magnetic field and magnetic ordering, TR symmetry is broken, leading to a finite thermal Hall response. Katsura et al. considered the effect of the scalar (spin) chirality Si·(Sj × Sk). Under finite scalar (spin) chirality, a virtual magnetic flux is generated within the material, thereby forming magnon-mediated THE. They discovered that in ferromagnetic materials with a kagome crystal structure (Figure 12a), the coupling of scalar (spin) chirality with the magnetic field leads to a nonzero thermal Hall conductivity. Unlike the kagome lattice, the triangular lattice has received less attention in the study of THE, as the scalar (spin) chirality between adjacent triangles cancels out. However, this cancellation is incomplete if the triangular lattice is distorted. Kim et al.[47] found that in the material YMnO3, due to the distortion of the triangular lattice (Figure 12b), the scalar (spin) chirality does not fully cancel (J1 ≠ J2), resulting in a finite THE. Notably, a finite thermal Hall conductivity persists in the paramagnetic phase of YMnO3, which can be attributed to phonon skew scattering induced by scalar spin chirality[126]. In addition to scalar (spin) chirality, a nonzero DM interaction in the system can also give rise to the magnon Hall effect. For the vast majority of magnon Hall effect, the mechanism is well explained by the nonzero Berry curvature induced by the DM interaction, as widely observed in materials such as Lu2V2O7, perovskite oxides, Cu(1,3-bdc), van der Waals magnets, and FeCr2S4.

(1) Lu2V2O7
Shortly after the theoretical prediction, Onose et al.[39] discovered the magnon Hall effect in the ferromagnetic insulator Lu2V2O7, with the mechanism for generating the thermal Hall response being the DM interaction. Lu2V2O7 is a ferromagnetic insulator with a pyrochlore structure, as shown in Figure 13a, and its sublattice is composed of corner-sharing tetrahedra. In this crystal structure, because the midpoint between any two vertices of the tetrahedron is not the inversion center, there exists a nonzero DM interaction:

Figure 13. (a) The V sublattice of Lu2V2O7, composed of corner-sharing tetrahedra; (b) Direction of the DM vector (Dij) in the tetrahedra; (c) Relationship between the thermal Hall conductivity κxy and magnetic field at different temperatures in Lu2V2O7. Republished with permission from[39]. DM: Dzyaloshinskii-Moriya.
In the equation, Dij and Si are the DM vector between the i and j points and the spin moment at the i point, respectively, as shown in Figure 13b. The material has a Curie temperature of TC = 70 K, and when the temperature is below 70 K, a clear thermal Hall conductivity κxy is observed, peaking around 50 K. However, upon heating to 80 K, κxy becomes indistinct. Figure 13c shows the variation of the thermal Hall conductivity of Lu2V2O7 with magnetic field at different temperatures. The thermal Hall conductivity increases sharply and saturates in the low magnetic field region, indicating that κxy is influenced by spontaneous magnetization and is an anomalous Hall response. After saturation in the low-field region, the thermal Hall conductivity gradually decreases as the magnetic field increases, which can be explained by the magnon gap induced by the magnetic field. The phonon thermal Hall conductivity is proportional to the magnetic field strength, which does not align with the decrease of κxy in the high-field region. However, the number of magnons decreases as the magnetic field increases, which is more consistent with the trend of decreasing κxy, indicating that the thermal Hall conductivity in Lu2V2O7 is dominated by magnons. To further study magnons, Matsumoto et al.[48] demonstrated that magnon wave packets exhibit two types of rotational motions: spin rotation and motion along the sample boundary (edge currents). The latter is believed to be the cause of THE produced by magnon, arising from the nonzero Berry curvature induced by the DM interaction, which applies to the ferromagnetic insulator Lu2V2O7. Besides Lu2V2O7, researchers have also observed the magnon Hall effect in other pyrochlore structures. Ideue et al.[27] observed the magnon Hall effect in In2Mn2O7 and Ho2V2O7. When the temperature falls below the Curie temperature TC, a nonzero thermal Hall conductivity was observed. Its magnetic-field dependence and magnitude were found to be similar to those of Lu2V2O7, which shares the same pyrochlore structure, thereby further confirming that THE is dominated by magnons.
(2) Perovskite oxide
The researchers extended this effect to transition metal (TM) oxides with a perovskite structure. In La2NiMnO6 and YTiO3, the thermal Hall signal is absent or negligible, as shown in Figure 14a. In contrast, another perovskite oxide, BiMnO3[28], exhibits a pronounced thermal Hall response below its TC, as shown in Figure 14b. This is because the unit cell of BiMnO3 contains 16 TM ions, which helps avoid the vanishing of the Berry curvature due to symmetry. Theoretically, it was found that the nonzero Berry curvature in momentum space caused by DM interaction can account for the magnon Hall effect in perovskite systems. The excellent agreement between experimental data and theoretical calculations confirms that THE in ferromagnetic insulators is magnon-dominated.

Figure 14. (a) Magnetic field dependence of the thermal Hall conductivity κxy in YTiO3; (b) Magnetic field dependence of the thermal Hall conductivity κxy in BiMnO3. Republished with permission from[27].
(3) Cu(1,3-bdc)
Cu(1,3-bdc) is a kagome ferromagnetic insulator, and nonzero DM interaction can also arise within this material. In this material, nonzero Berry curvature arising from DM interaction is evident, leading to a large thermal Hall response[29]. This is a ferromagnet with weak antiferromagnetic interlayer coupling. The spins within each plane exhibit ferromagnetic ordering, while the adjacent planes show antiferromagnetic ordering, with the spin directions aligned parallel to the kagome plane. When a magnetic field (μ0H ≈ 0.05 T) is applied, the magnetic moments are fully polarized along the c-axis, as shown in Figure 15a. The longitudinal thermal conductivity κxx of Cu(1,3-bdc) suddenly increases after T = 1.8 K and depends on the magnetic field strength (Figure 15b). This indicates that at low temperatures, the thermal conductivity is composed of both phonons and magnons. When T > 10 K, κxx becomes independent of the magnetic field B, suggesting that the interaction between phonons and magnons can be neglected, as shown in Figure 15c. By subtracting the phonon contribution to the thermal conductivity at high fields, the magnon contribution κs can be obtained. Notably, the thermal Hall conductivity κxy of Cu(1,3-bdc) follows the same trend as κs (Figure 15d), indicating that they both originate from the same heat carriers, i.e., magnons, thereby ruling out the possibility of phonons[30].

Figure 15. (a) Magnetic structure of Cu(1,3-bdc). Republished with permission from[29]; (b) Temperature dependence of κ (black) and κ/T (red) for T < 4.5 K; (c) Magnetic field B dependence of the longitudinal thermal conductivity κxx at different temperatures; (d) Curves of κxx and κxy after multiplying by a scaling factor s(T). Republished with permission from[30].
(4) Van der Waals magnet
Zhang et al.[127] shifted their focus from kagome lattice materials to the two-dimensional van der Waals (vdW) magnet VI3, where they observed the ATHE. Unlike the materials mentioned earlier, THE in VI3 exhibits two regimes: at lower temperatures, it is phonon-dominated, induced by the coupling between magnetic excitations and phonons, while at higher temperatures, it is dominated by topologically protected magnon excitations carried by the ferromagnetic honeycomb lattice. As the magnetic field strength increases, the number of magnons is suppressed, leading to a decrease in κmag. In contrast, the suppression of magnons weakens phonon scattering, increases the mean free path, and thus enhances κph. Figure 16a shows the temperature dependence of the longitudinal thermal conductivity κxx, which increases with the magnetic field, indicating that κxx is predominantly phonon-conducted and strongly influenced by magnon scattering. Figure 16b presents the relationship between κxy and magnetic field strength at T = 15 K, showing the typical hysteresis behavior of a ferromagnet. The maximum value of κxy reaches 1 × 10-2 W·K-1·m-1, with the maximum thermal Hall angle of approximately 4.3 × 10-3. Additionally, the thermal Hall signal remains even in the absence of an external magnetic field, suggesting the presence of ATHE. This study considers both magnons and phonons, enabling a direct probe of their coupling in a ferromagnetic system. The peculiar properties of VI3 make it the first ferromagnetic system to study the anomalous coupling of magnons and phonons, and it holds potential as a platform for spintronics/magnonics applications. In contrast, the magnon Hall signal in another van der Waals magnet, CrI3, is relatively small in the high-temperature region[128]. However, CrI3 shows a pronounced anomalous thermal Hall signal at lower temperatures, which could be related to magnon-phonon hybridization or magnon-phonon scattering. The thermal Hall signal no longer depends solely on magnons or phonons but is influenced by the coupling between the two. As for the two-dimensional van der Waals antiferromagnet FeCl2, the resulting thermal Hall conductivity κxy is shown in Figure 16c[129]. When the temperature is below TN = 23.5 K, κxy increases with the magnetic field, then sharply transitions near 1.5 T. These features rule out the possibility that the thermal Hall signal is purely phonon-generated or driven by phonons induced by internal magnetization. Instead, κxy in FeCl2 may be related to magnon-phonon hybridization. The data obtained from theoretical calculations exhibit remarkable qualitative similarity to the experimental results, as shown in Figure 16d. However, this calculation cannot rule out contributions from mechanisms such as magnon-phonon scattering; the specific mechanism requires further investigation. Another analogous antiferromagnet is MnPS3[130]. Theoretical calculations demonstrate that the intrinsic Berry curvature arising solely from magnon-phonon hybridization cannot fully account for the giant thermal Hall signal measured experimentally. This finding strongly indicates that magnon-phonon scattering mechanisms are instrumental in driving the transverse thermal transport. The above research indicates that magnons and phonons in two-dimensional van der Waals ferromagnets and antiferromagnets strongly couple and mutually influence each other, making them potential systems for studying the coupled transport of multiple heat carriers.

Figure 16. (a)-(b) Thermal conductivity of VI3: (a) Temperature dependence of the longitudinal thermal conductivity κxx; (b) Magnetic field dependence of the thermal Hall conductivity κxy. Republished with permission from[127]; (c) Magnetic field dependence of the thermal Hall conductivity κxy in FeCl2 at different temperatures; (d) Calculated thermal Hall conductivity of FeCl2 with magnon-phonon coupling constant g = 1.0. Republished with permission from[129].
(5) FeCr2S4
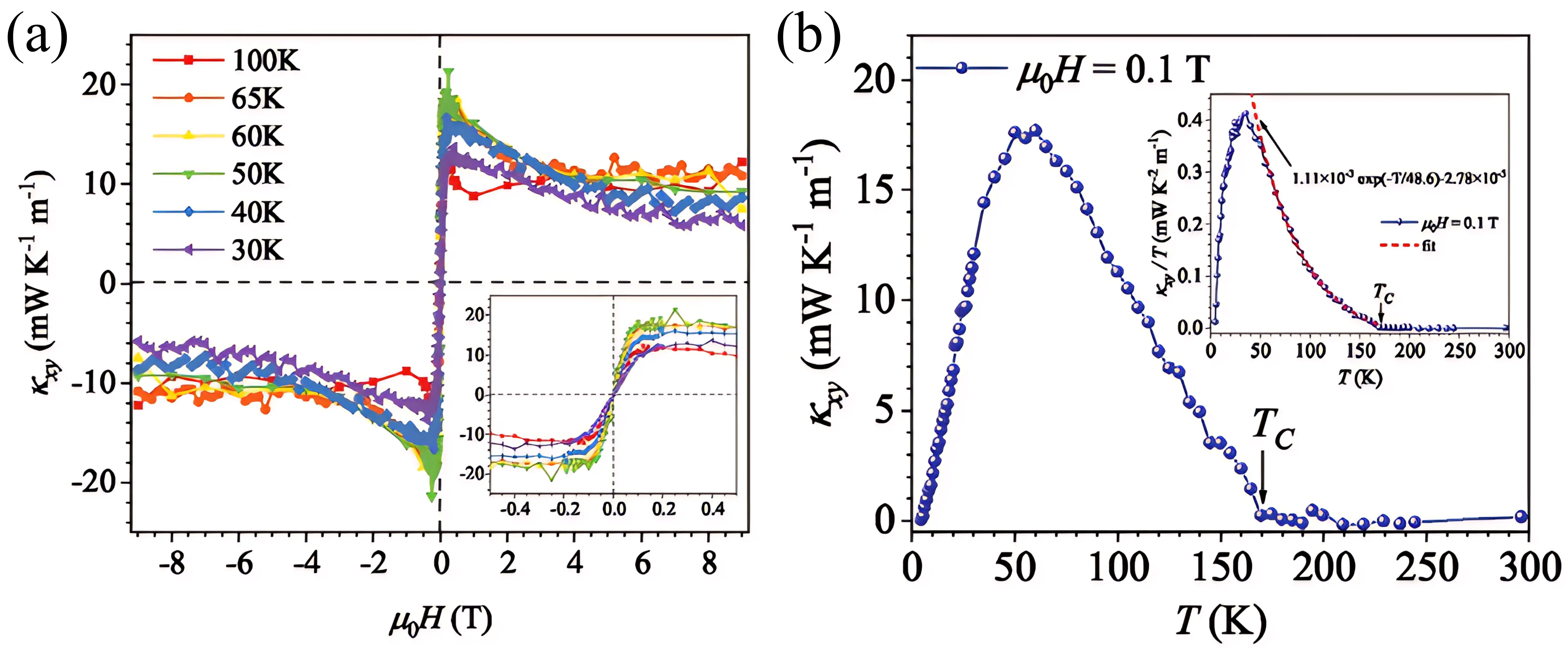
Recently, Zhou et al.[33] studied the ferrimagnetic spinel FeCr2S4. As the magnetic field increases, the thermal Hall conductivity κxy of FeCr2S4 shows saturation behavior similar to that of the ferromagnetic magnetization (Figure 17a). At 50 K and a small magnetic field of 0.1 T, the thermal Hall conductivity reaches its maximum value of κxy = 1.8 × 10-2 W·K-1·m-1, as shown in Figure 17b. Fitting the FeCr2S4 data using κxy/T = exp(-T/T0) + C results in excellent agreement with experimental data, confirming that this thermal Hall response arises from nonzero Berry curvature, as indicated by the red dashed line in the inset of Figure 17b. Notably, FeCr2S4 exhibits the largest thermal Hall angle |κxy/κxx| ≈ 7 × 10-3 reported in an insulator at the peak of κxy, suggesting a significant degree of chirality in the internal heat carriers of the material. Moreover, the maximum value of κxy occurs at a small magnetic field of 0.1 T, greatly reducing the difficulty in device design and offering the possibility for future magnetic field-controlled thermoelectric devices designs.

Figure 17. (a) Magnetic field dependence of the thermal Hall conductivity κxy in FeCr2S4 at different temperatures; (b) Temperature dependence of the thermal Hall conductivity κxy in FeCr2S4 under a 0.1 T magnetic field. Republished with permission from[33].
Above, we discussed THE generated by magnons (S = 1), whose transverse response primarily arises from a nonzero Berry curvature induced by the DM interaction. In contrast, within the spin-liquid (SL) regime of kagome antiferromagnets, long-range order is suppressed by quantum fluctuations and the internal heat carriers become fractionalized spinons. These are distinct manifestations of magnetic excitations in different phases. Below, taking volborthite and Ca kapellasite as examples, we introduce THE arising from magnetic excitations in the SL state and compare it with that in ferromagnetic kagome materials. Unlike Cu(1,3-bdc), volborthite is a kagome antiferromagnet that exhibits a spin-liquid state in the temperature range TN < T < T*~Jeff/kB[31]. Using the experimental setup shown in Figure 18a, the temperature dependence of the thermal Hall conductivity was measured. When the temperature falls below T*~60 K, a finite thermal Hall signal appears (Figure 18c). As the temperature decreases, κxy first increases gradually, then rises sharply around 30 K, and, after reaching a maximum near 15 K, drops sharply. Moreover, when κxy reaches a peak at Tp, the magnetic susceptibility χ also attains a maximum (inset of Figure 18c). These results indicate that THE in volborthite originates from magnetic excitations (spinons) in the SL state rather than from phonons. It is noteworthy that, owing to the low symmetry of its distorted kagome structure, there exists a nonzero DM interaction with D/J~0.1. Although the DM strength in Cu(1,3-bdc)[30] is similar (D/J~0.15), its thermal Hall conductivity is larger than that of volborthite by 1-2 orders of magnitude. This implies a distinct origin of the thermal Hall response in antiferromagnets and ferromagnets and warrants further exploration. Doki et al.[32] likewise observed a pronounced thermal Hall response in another kagome antiferromagnet, Ca kapellasite (Figure 18b), with D/J~0.1. As shown in Figure 18d, this material exhibits a temperature dependence similar to that of volborthite, further indicating that THE in both arises from magnetic excitations in the SL state. Theoretically, Schwinger-boson mean-field theory (SBMFT) can reproduce κxy both qualitatively and quantitatively; by adjusting J and D, the κxy values can be collapsed onto a single curve. The solid line in Figure 18e presents the SBMFT numerical result for D/J = 0.1, whose temperature dependence agrees with the experiment.

Figure 18. (a) Experimental setup for volborthite; (b) Experimental setup for Ca kapellasite; (c) Temperature dependence of -κxy/TB at H = 15 T in volborthite. Republished with permission from[31]; (d) Temperature dependence of κxy/TB for Ca kapellasite (samples #1 and #2) and volborthite; (e) Variation curves of the dimensionless thermal Hall conductivity fexp(kBT/J) and fSBMF(kBT/J). Republished with permission from[32].
Magnons, as collective low-energy excitations in magnetic materials, are widely present in various magnetic materials. Regarding the magnon Hall effect, there are two principal mechanisms: scalar (spin) chirality and the nonzero DM interaction. Scalar (spin) chirality exists in ferromagnets with kagome crystal structures and couples with the magnetic field to yield a nonzero κxy. The existence of a nonzero DM interaction is more universal than scalar (spin) chirality, being widely present in ferromagnetic and antiferromagnetic insulators, such as Lu2V2O7, Cu(1,3-bdc), volborthite, Ca kapellasite, etc. The nonzero Berry curvature in momentum space induced by the DM interaction can account for the magnon Hall effect in most materials and is widely accepted by researchers. However, in magnetic insulators, heat transport is carried by two heat carriers: phonons and magnons. How can we determine which carriers generate THE, whether they are coupled, and what their relative contributions are? These issues remain to be resolved. In BCSO material, due to strong spin-lattice coupling and the presence of a spin gap, phonon thermal transport can be probed in the absence of magnons. In systems where both contribute, how can their respective signals be separated? As noted above, PHE is widely present in crystals. However, in these magnetic insulators, the variation of κxy no longer tracks the κxx trend, making it difficult to establish the existence of PHE. Even if it exists, magnon effects on PHE remain unclear. Table 2 lists the thermal Hall signals in the aforementioned materials; compared to phonons, their thermal Hall conductivity is consistently smaller, which is likely attributable to magnon–phonon coupling and/or the low mobility of magnons.
| Material | κxy × 10-3 (W K-1m-1) | κxx (W K-1m-1) | |κxy/κxx| × 10-3 | T (K) | H (T) | Reference |
| Lu2V2O7 | 1 | 0.7 | 1.4 | 50 | 0.1 | [39] |
| Lu2V2O7 | 1 | 0.75 | 1.3 | 50 | 9 | [39] |
| Ho2V2O7 | 0.5 | 1.0 | 0.5 | 50 | 0.1 | [27] |
| In2Mn2O7 | -2 | 2.9 | 0.7 | 102 | 0.1 | [27] |
| BiMnO3 | -1 | 2.5 | 0.4 | 48 | 0.1 | [27] |
| Cu(1,3-bdc) | 0.2 | 0.1 | 2.5 | 0.82 | 0.1 | [29] |
| VI3 | 10 | 2.3 | 4.3 | 15 | 0.1 | [119] |
| FeCr2S4 | 18 | 2.57 | 7 | 50 | 0.1 | [33] |
| Volborthite | -0.66 | 1.9 | 0.35 | 22 | 15 | [31] |
| Ca kapellasite | 1.1 | 0.2 | 5.5 | 16 | 15 | [32] |
2.5 Exciton
As a composite particle, an exciton possesses properties that are fundamentally different from those of elementary particles such as electrons, photons, phonons, and magnons.
Initially, researchers focused on the spin Hall effect induced by excitons. Leyder et al.[131] were the first to experimentally verify the optical spin Hall effect, whose mechanism arises from the separation of exciton polarons in both real and momentum space. Banerjee et al.[132] predicted that the nonlinear interaction between excitons and polarons would give rise to a topological valley Hall effect. Alireza et al.[133] observed the spin Hall effect induced by nonlinear excitons in monolayer transition metal dichalcogenides (TMDs). The internal spin current is strongly influenced by the exciton effects, as shown in Figure 19. Figure 19b displays the structure of monolayer TMDs in the 1H phase. The aforementioned works all demonstrate the spin Hall effect induced by excitons due to various mechanisms. In 2017, Iwasa et al.[34] reported a completely different exciton Hall effect (EHE). The Hall effect generated by exciton-polarons arises from an external scattering process within the cavity and the subsequent pseudospin precession[131], whereas this EHE originates from intrinsic Berry curvature. Due to laser illumination, a gradient of temperature and chemical potential is formed on the monolayer, causing lateral motion of the exciton quasi-particles, as shown in Figure 19c. The intrinsic two-dimensional characteristics of monolayer MoS2 allow excitons to exist stably, while the transverse velocity induced by Berry curvature indicates the presence of EHE. The authors directly observed the THE of excitons in monolayer MoS2 using photoluminescence spectra under different polarizations, as shown in Figure 19d. When x lies in the range 3.2 µm < x < 4.5 µm, the splitting of the peak positions of the σ+ and σ− components clearly indicates the generation of EHE. The exciton thermal Hall angle in monolayer MoS2 is much larger than that of independent electrons, suggesting that the quantum transport characteristics of composite particles are significantly influenced by their internal structure. This achievement not only addresses the fundamental issue of the Hall effect in composite particles but also provides a new approach for exploring valleytronic devices based on excitons in two-dimensional materials.

Figure 19. (a) Nonlinear exciton spin Hall effect in monolayer TMDs; (b) Top and side views of monolayer TMDs in the 1H phase. Republished with permission from[132]; (c) Schematic diagram of the exciton Hall effect; (d) Polarization-resolved PL mapping under linearly polarized excitation. Republished with permission from[34]. TMDs: transition metal dichalcogenides.
Excitons, as elementary particles formed by bound electron-hole pairs, exhibit properties that are fundamentally different from single particles. EHE originates from the intrinsic Berry curvature, which gives rise to a transverse velocity. Currently, EHE has only been reported in monolayer MoS2, significantly limiting its application scenarios. Can EHE be experimentally measured in other two-dimensional transition metal dichalcogenides? Experiments have shown that the thermal Hall angle of excitons is much larger than that of free electrons. This observation warrants further investigation. Furthermore, individual experimental findings lack systematic verification and comparative studies across multiple material systems, which warrants expanded investigation.
In summary, the mechanisms responsible for transverse transport in some materials are reasonably well understood, such as domain wall scattering of phonons in SrTiO3; strong phonon scattering induced by Cu2+ spins in BCSO; scalar (spin) chirality in YMnO3; and a nonzero Berry curvature induced by the DM interaction in most magnetic insulators. However, the microscopic mechanisms in many materials remain unclear, including the nature of the pseudogap phase in cuprates, the origin of phonon chirality, the apparent lack of materials satisfying the “resonance condition,” and the distinct origins of different thermal Hall signals in ferromagnetic and antiferromagnetic materials. Table 3 summarizes reported THE signals for which the heat carriers are relatively well identified. Compared with other materials, although their internal mechanisms are uncertain, the heat carriers responsible for THE have been largely established, and corresponding hypotheses have been proposed, which still require further verification.
| Material | Thermal carrier | Generation mechanism | Reference |
| Tb3Ga5O12 | Phonon | Raman spin-lattice interaction | [36] |
| Phonon resonance skew scattering induced by Tb3+ ions. | [99] | ||
| SrTiO3 | Phonon | Phonons scattered by domain walls induced by antiferromagnetic distortion. | [40] |
| Blackphosphorus | Phonon | Longitudinal and a transverse acoustic phonon mode anti-cross, facilitating wave-like transport across modes. | [102] |
| Nonzero Berry curvature. | [26] | ||
| Cuprates | Phonon | Phonon coupling to electronic states breaks time-reversal symmetry (hypothesis). | [105] |
| Phonon coupling with short-range antiferromagnetic correlations (hypothesis). | [106-109] | ||
| Cu3TeO6 | Phonon | Scattering from local spin texture created by an impurity or defect embedded in a magnetic environment (hypothesis). | [115] |
| Ba3CuSb2O9 | Phonon | Strong phonon scattering caused by Cu2+ spins. | [37] |
| YMnO3 | Magnon | Scalar (spin) chirality | [47] |
| Lu2V2O7 | Magnon | Nonzero Berry curvature induced by DM interaction. | [39] |
| In2Mn2O7 | Magnon | Nonzero Berry curvature induced by DM interaction. | [27] |
| Ho2V2O7 | Magnon | Nonzero Berry curvature induced by DM interaction. | [27] |
| BiMnO3 | Magnon | Nonzero Berry curvature induced by DM interaction. | [27] |
| Cu(1,3-bdc) | Magnon | Nonzero Berry curvature induced by DM interaction. | [29] |
| VI3 | Phonon-dominated | Magnon-phonon coupling | [119] |
| Magnon-dominated | Topological magnons hosted by the ferromagnetic honeycomb lattice | [119] | |
| FeCr2S4 | Magnon | Nonzero Berry curvature. | [33] |
| volborthite | Spinon | Nonzero Berry curvature induced by DM interaction. | [31] |
| Ca kapellasite | Spinon | Nonzero Berry curvature induced by DM interaction. | [32] |
| MoS2 | Exciton | Nonzero Berry curvature. | [34] |
2.6 Controversial materials
Current research on THE remains in an early stage, with the identity of the thermal carrier responsible for the effect in certain materials still unclear or highly debated. Below, we introduce several specific materials where the carrier governing THE is not clearly identified, including the frustrated quantum magnet Tb2Ti2O7 and the quantum spin liquid candidate α-RuCl3.
(1) Tb2Ti2O7
Tb2Ti2O7 possesses a pyrochlore structure and is a frustrated quantum magnet[134]. In frustrated quantum magnets, despite the presence of strong exchange interactions between spins, long-range magnetic order does not develop. Tb2Ti2O7 exhibits a significant thermal Hall response below 15 K, as shown in Figure 20a. Hirschberger et al.[135] suggested that this response originates from spin excitations and exhibits distinct characteristics compared to magnons. When the direction of the heat flux density Jq is reversed, the sign of the thermal Hall angle -∂yT/|∂xT| changes, while its magnitude remains constant (2%), confirming that the thermal Hall signal is intrinsic (Figure 20b). When the power is increased threefold (90→270 µW), the -∂yT/|∂xT| remains almost unchanged, demonstrating that the response is linear. Figure 20c plots the temperature dependence of κ/T for different samples. The trend of κ/T below 15 K contradicts the power-law Ta dependence (a > 2) predicted by the magnon model[48], indicating a behavior distinct from that of magnons. Additionally, the constant value of κ/T below 1 K in Tb2Ti2O7 does not correspond to phonon conduction. Despite the small κ, the tanθH at 1 T is still 90 times larger than in TGG, providing strong evidence that κxy does not originate from phonons. The authors suggest that their results point to a neutral excitation influenced by a novel Lorentz force, FL = esv × B, where es is the effective charge and v is the drift velocity driven by -∇T. Subsequently, Hirschberger et al.[136] reported another pyrochlore magnetic insulator, Yb2Ti2O7, with its thermal Hall signal shown in Figure 20d. By comparing the κxx values of three rare-earth titanates, R2Ti2O7 (R = Tb, Yb, Y), they found that the trend did not match κxy, ruling out phonon skew scattering as the dominant source of κxy, as shown in Figure 20e. Furthermore, when Yb2Ti2O7 is in the field-aligned ferromagnetic state, magnon excitations are observed in the inelastic neutron scattering spectra.

Figure 20. (a) Magnetic field dependence of the thermal Hall conductivity κxy/T in Tb2Ti2O7 at different temperatures; (b) Magnetic field dependence of the thermal Hall angle -∂yT/|∂xT| at T = 15 K in Tb2Ti2O7; (c) Temperature dependence of the longitudinal thermal conductivity κ/T for samples 1 and 2. Republished with permission from[135]; (d) Scaling analysis of κxy/T in Yb2Ti2O7 in the field-aligned ferromagnetic state. Republished with permission from[136]; (e) Comparison of the longitudinal thermal conductivity κxx in different R2Ti2O7 materials. Phonon scattering is strongest in R = Tb at low temperatures[135], and weakest in the non-magnetic R = Y. Republished with permission from[137].
Based on the aforementioned results, researchers have suggested that THE in the pyrochlore structure originates from spin excitations. However, Hirokane et al.[137] presented a different viewpoint, proposing that phonons are the source of the thermal Hall conductivity in Tb pyrochlore oxides. To distinguish between THE arising from phonons and that from magnetic excitations, magnetic moment dilution was employed, where 70% of the Tb3+ ions were substituted with Y3+ ions. Figure 21a shows the temperature dependence of the longitudinal thermal conductivity κxx for (Tb0.3Y0.7)2Ti2O7, compared with the data for Y2Ti2O7 and Tb2Ti2O7 from the literature[138]. Notably, the thermal conductivity of Y2Ti2O7 exhibits a typical phonon-type temperature dependence. The thermal conductivity of Tb2Ti2O7 is significantly suppressed, indicating strong scattering of phonons by the Tb3+ magnetic moments. However, when Tb3+ is partially replaced by Y3+, the thermal conductivity remains very similar to that of Tb2Ti2O7. Figure 21b plots the temperature dependence of κxy/T at 6 T for (Tb0.3Y0.7)2Ti2O7 and Tb2Ti2O7[135], clearly showing that the substitution of Tb3+ with Y3+ does not decrease κxy/T; instead, it increases it. In conclusion, the observed thermal Hall conductivity in the diluted system contradicts the magnetic excitation mechanism for THE. Therefore, Hirokane et al. suggest that THE in this system is primarily caused by phonons. Sharma et al.[139] measured THE in the non-magnetic insulator Y2Ti2O7, using an experimental setup as shown in the inset of Figure 21d, consisting of a heater, a heat sink, and three thermometers. By partially or fully substituting Dy3+ ions for Y3+ ions, they investigated the impact of magnetic properties on THE of this structure. Figure 21c and d show the temperature dependence of the longitudinal thermal conductivity and thermal Hall conductivity for Y2Ti2O7, Dy2Ti2O7, and DyYTi2O7. The temperature dependence of the longitudinal thermal conductivity (κxx) for all three materials exhibits typical phonon behavior, peaking around 15 K. The thermal Hall conductivity (κxy) for each sample also exhibits a peak (Figure 21d), with its temperature coinciding with the peak temperature of κxx, consistent with the characteristics of phonon carriers. Additionally, the thermal Hall angle, which represents the level of chirality, |κxy/κxx|, remains in the range of 10-3-10-4, in agreement with the previously observed magnitudes of the thermal Hall angle caused by phonons. These findings further support the notion that THE in the pyrochlore structure originates from phonons, contradicting the initially hypothesized magnetic excitations. However, these studies do not entirely rule out the presence of additional magnetic excitation components in Tb2Ti2O7. Both explanations correspond to experimental phenomena, yet the relative contributions of the two carriers remain unclear and require further investigation.

Figure 21. (a) Temperature dependence of the longitudinal thermal conductivity κxx in (Tb0.3Y0.7)2Ti2O7; (b) Temperature dependence of κxy/T at H = 6 T for (Tb0.3Y0.7)2Ti2O7 and (Tb0.3Y0.7)3Ga5O12. Republished with permission from[138]. The temperature dependence of κxy/T for Tb2Ti2O7 at 6 T and Tb3Ga5O12 at 3 T is reproduced from the literature[99,135]; (c) Longitudinal thermal conductivity κxx measured at zero magnetic field for Y2Ti2O7, Dy2Ti2O7, and DyYTi2O7; (d) The corresponding thermal Hall conductivity κxy/B after magnetic field normalization. The inset shows a schematic of the experimental setup. Republished with permission from[139]. The horizontal axes in the figures all represent the absolute temperature T (K).
(2) α-RuCl3
Quantum Spin Liquid (QSL) is a unique state of quantum matter in which long-range magnetic order is suppressed due to extensive quantum fluctuations, even at zero temperature[140-142]. As a representative QSL candidate, α-RuCl3 has been the subject of extensive study.
α-RuCl3 is a quasi-two-dimensional material with a honeycomb lattice structure formed by Ru ions[143]. Under the influence of a longitudinal heat current and an external magnetic field, this material generates a significant transverse heat flow. The exact nature of the heat carriers responsible for THE in α-RuCl3 remains unsettled, though Majorana fermions have been widely proposed. These particles are their own antiparticles and possess half the degrees of freedom of traditional fermions[144-146]. Nomura et al.[147] predicted that Majorana fermions would appear in the Kitaev quantum spin liquid[148], and such particles may exist in α-RuCl3. In the Kitaev quantum spin liquid, spins are divided into two types of Majorana fermions: one is a localized Z2 flux, and the other is a gapless, mobile Majorana mode at zero field. In 2018, Kasahara et al.[149] first reported ATHE in α-RuCl3. The study found that, when the temperature dropped below the characteristic temperature of the Kitaev interaction (JK/kB~80K), the material transitioned from a conventional paramagnetic state to a Kitaev paramagnetic state. Although the zero-temperature characteristics are masked by the magnetic ordering at TN = 7K, a large positive thermal Hall conductivity κxy was observed in α-RuCl3 for temperatures in the range TN < T < JK/kB. The experimental results, shown in Figure 22a, demonstrate the temperature dependence of κxy/T at different magnetic fields. The data indicate that the two-dimensional pure Kitaev model can quantitatively reproduce the experimental values above TN, indicating that the thermal Hall response in this region arises from the intrinsic excitations of the Kitaev spin liquid, namely Majorana fermions (Figure 22b). Hentrich et al.[150] experimentally confirmed this viewpoint. Above TN = 7K, the thermal Hall conductivity κxy sharply increases with temperature under a perpendicular magnetic field, reaching a maximum around 30 K, and eventually disappearing at T > 125 K, as shown in Figure 22d. Meanwhile, the Kasahara team observed a half-integer THE in α-RuCl3[151]. When the magnetic field was tilted relative to the sample surface and the heat flow was along the a-axis, a quantized plateau in κxy/T was observed, as shown in Figure 22c. Figure 22e shows the phase diagram of α-RuCl3 at different temperatures and magnetic fields. A quantized plateau appears when the temperature is below 5.5 K and the magnetic field µ0H|| exceeds 7 T, providing evidence for the existence of Majorana fermions. To assess the reproducibility of the half-integer quantized THE in α-RuCl3, Yamashita et al.[152] investigated the sample dependence of the half-integer THE. By studying single-crystal samples under tilted magnetic fields, a quantized plateau was observed in sample A, which exhibited the largest longitudinal thermal conductivity, as shown in Figure 22f. This result once again confirms the presence of Majorana fermions in α-RuCl3.

Figure 22. (a) Temperature dependence of the thermal Hall conductivity κxy/T in α-RuCl3 at different magnetic fields; (b) Numerical results of the pure Kitaev model under an effective magnetic field (h*). Republished with permission from[149]; (c) Magnetic field dependence of the thermal Hall conductivity κxy/T in α-RuCl3 under a tilted magnetic field θ = 60◦; (d) Temperature dependence of the thermal Hall conductivity κxy as a function of temperature at |Bz| = 16T in α-RuCl3. Republished with permission from[150]; (e) Phase diagram of α-RuCl3 at a tilted magnetic field θ = 60◦. Republished with permission from[148]; (f) Magnetic field dependence of the thermal Hall conductivity κxy/T in sample A. The dashed line corresponds to the value of the half-integer quantized thermal Hall effect. Republished with permission from[152].
Based on current findings, there remains controversy regarding the nature of the heat carriers in α-RuCl3. Some researchers have proposed that the heat carriers in this material are phonons, based on the similarity between the κxx and κxy curves in the experimental results. Hentrich et al.[153] measured the thermal conductivity κab in the ab-plane and the out-of-plane thermal conductivity κc along the c-axis under an applied magnetic field. As shown in Figure 23a,b, when B < Bc (regime I), κab decreases slightly with increasing magnetic field; when B > Bc (regime II), κab increases rapidly with the magnetic field, accompanied by a sudden low-temperature suppression of κab. This behavior can be explained by phonon scattering caused by magnetic excitations. In regime I, the magnetic excitations are low-energy and nearly gapless, strongly scattering the phonons. In regime II, as the magnetic field increases and the gap opens, phonon scattering decreases, and the thermal conductivity increases. As the temperature further rises, the mean free path decreases due to phonon Umklapp scattering, and the values of κab and κc decrease rapidly, as shown in Figure 23c,d. Furthermore, the trend of κ for heat flow parallel to the ab direction is similar to that for heat flow perpendicular to the ab plane, which further supports the idea that the heat carriers inside the material are phonons. Lefrançois et al.[154] also concluded that THE in α-RuCl3 is primarily due to phonons. They measured the longitudinal thermal conductivity κxx and thermal Hall conductivity κxy under heat flow (J || a) in five different samples, as shown in Figure 23e,f. Although there is a large difference in the magnitude of κxx and κxy for different samples, their temperature-dependent trends are the same, with κxx and κxy both reaching a peak at the same temperature. The experimentally obtained thermal Hall angle |κxy/κxx| is comparable to the typical phonon-induced thermal Hall angle, which is of order 10-3, suggesting that the heat carriers inside the material are phonons.

Figure 23. (a) Magnetic field dependence of the thermal Hall conductivity κab at constant temperature; (b) Temperature dependence of the thermal Hall conductivity κab when B > 7.5 T; (c)-(d) Relationship between thermal conductivity and temperature at B = 0 T and B = 16 T; (c) Thermal conductivity κab with heat flow parallel to the ab direction of regime I; (d) Thermal conductivity κc with heat flow perpendicular to the ab direction of regime II. Republished with permission from[153]; (e) Temperature dependence of the longitudinal thermal conductivity κxx for five different samples in zero magnetic field; (f) Temperature dependence of the thermal Hall conductivity κxy at H = 15 T. Republished with permission from[154].
Czajka et al. observed the de Haas–van Alphen effect in α-RuCl3, suggesting the possible presence of a Fermi surface within the material[155]. Therefore, the carriers responsible for THE may involve a different fermionic excitation rather than Majorana fermions. They found that the κxx of α-RuCl3 oscillates as a function of magnetic field at temperatures T < 4.5 K, and no half-integer quantized plateau was observed in THE, as shown in Figure 24. This suggests the possible presence of an alternative fermionic excitation within α-RuCl3; however, direct experimental support remains limited. The underlying mechanism warrants further investigation.

Figure 24. (a) Oscillations of κxx (H||a) below 4.5 K; (b) Magnetic field dependence of the thermal Hall conductivity κxy at different temperatures. Republished with permission from[155].
This subsection summarizes two materials in which THE attributed to internal carriers remains controversial. Initially, researchers attributed the thermal Hall response in Tb2Ti2O7 to spin excitations, and based on comparisons with prior reports, argued against a purely phononic origin. However, Hirokane et al. found that partially substituting Tb3+ with Y3+ not only did not reduce the thermal Hall conductivity κxy, but actually increased it. This trend is more consistent with a phonon-related contribution, contradicting the behavior expected from spin excitations. The tension between experimental observations suggests that more than one type of carrier contributes to thermal transport within the material, and the coupled transport among these multiple carriers leads to the apparently disparate experimental outcomes. A similar situation is observed in α-RuCl3, where three interpretations have been proposed for the heat-carrying carriers: Majorana fermions, phonons, and an alternative fermionic excitation. Among these, Majorana fermions can account for the half-integer quantized plateau and the sign reversal of κxy; phonons can account for the similar behavior of κxx and κxy over a broad temperature range; and another fermion from the Fermi surface can explain the oscillations of κxx over a narrow temperature range. However, these carrier interpretations are confined to specific phenomena and cannot provide a unified explanation of all experimental observations in this material. This scenario suggests the coexistence of multiple carriers within the material, interacting with each other, where different experimental phenomena can be interpreted as arising from different excitations contributing with different weights to the thermal Hall conductivity under different experimental conditions. Table 4 summarizes the reported thermal Hall signals in these materials under different temperatures and magnetic fields.
| Material | κxy×10-3 (W K-1m-1) | Κxx (W K-1m-1) | |κxy/κxx| × 10-3 | T (K) | H (T) | Reference |
| Tb2Ti2O7 | 1.2 | 0.27 | 4.4 | 15 | 12 | 125 |
| Tb2Ti2O7 | 1 | 0.2 | 5 | 12.8 | 9 | 125 |
| Tb2Ti2O7 | 1.2 | 0.37 | 3.2 | 15.5 | 8 | 125 |
| Y2Ti2O7 | 0 | 18 | 0 | 15 | 8 | 125 |
| RuCl3 | 8 | 15.5 | 0.5 | 20 | 15 | 138 |
| RuCl3 | 3.5 | 8 | 0.4 | 35 | 16 | 139 |
| RuCl3 | 2 | 2 | 1 | 20 | 15 | 143 |
3. Integrated Measurement Method
Except for non-magnetic insulators, most materials host multiple carriers, as shown in Table 5. Several materials, including van der Waals magnets, Tb2Ti2O7, multiferroics, and α-RuCl3, are potential platforms for studying coupled transport, but how can this be achieved? Experimental techniques, as crucial research tools, currently focus only on studies of bulk materials and are largely limited to THE and related thermal parameters. Developing integrated magneto-thermal-electrical multiparameter measurements on the same specimen would greatly help to elucidate interaction mechanisms among carriers and is essential for advancing mechanistic understanding in condensed-matter physics.
| Materials | Classification | Representative Materials | Carriers |
| Conductors | — | Iron | Electron, Phonon |
| Non-magnetic Semiconductors | — | Si, Ge | Electron, Phonon |
| Magnetic Semiconductors | Ferromagnetic Semiconductors | In0.27Co0.73O1-v | Electron, Phonon, Magnon |
| Antiferromagnetic Semiconductors | Cr0.68Se | Electron, Phonon, Magnon | |
| Non-magnetic Insulators | — | SrTiO3, BP | Phonon |
| Magnetic Insulators | Ferromagnetic Insulators | Lu2V2O7, Cu(1,3-bdc), VI3 | Phonon, Magnon |
| Antiferromagnetic Insulators | Cu3TeO6, Volborthite | Phonon, Magnon, Spinon | |
| Exotic Materials | Frustrated quantum magnets | Tb2Ti2O7 | Phonon, Magnon |
| Quantum Spin Liquids | α-RuCl3 | Phonon, Fermions |
THE involves various couplings among heat carriers, and experimental characterization can deepen our understanding of the transport mechanisms underlying these couplings. Currently, researchers typically use a similar experimental configuration to measure THE. The measurement principle involves attaching a heater and a heat sink to opposite ends of the sample to establish a longitudinal heat current Q, and placing three thermometers on the sample surface to measure the longitudinal and transverse temperature gradients, from which κxy can be extracted. The measured specimens are bulk (macroscopic) materials, as shown in Figure 25.

Compared with bulk materials, THE at the micro/nanoscale is of greater interest. First, the quantum effects in micro/nano materials are more pronounced, facilitating the observation of topological THE (e.g., THE driven by Berry curvature). Second, reduced dimensionality and strong correlations can cause heat carriers such as phonons and magnons in micro/nano materials to exhibit properties that are fundamentally different from those in macroscopic materials. Furthermore, low-dimensional structuring is currently the most effective method for enhancing material performance. Finally, the effective signal in micro/nano materials is large relative to the background signal, resulting in a higher signal-to-noise ratio. Studying the transport mechanisms of carriers at the micro/nanoscale could provide a theoretical foundation for developing high-performance thermoelectric, ferroelectric, and ferromagnetic materials and devices, as well as applications in spintronic chips and magnetic storage devices. However, current measurements of THE are still concentrated on bulk materials, with relatively few studies on micro/nanoscale specimens. On the one hand, because the thermal Hall signal is weak, it is difficult to measure in micro/nano materials. On the other hand, existing micro/nanoscale studies often rely on separate fabrication and characterization steps, which easily leads to erroneous results due to differences in sample structure and size, hindering rigorous investigations into coupled transport among multiple carriers. This paper proposes a magneto-thermal-electrical multiparameter integrated measurement method suitable for materials at different scales, enabling in situ, single-shot measurements of parameters such as thermal Hall conductivity, electrical conductivity, Seebeck coefficient, and Hall coefficient on the same specimen. This method provides a reliable characterization approach for studying the transport mechanisms of multiple degrees of freedom (magnetic, thermal, electrical, etc.) within materials.
Figure 26 shows the schematic of the magneto-thermal-electrical multiparameter integrated measurement method. The orange areas represent metal electrodes, the blue areas represent the sample, and the dark gray areas indicate the suspension. Electrodes 2, 4, 6, and 8 are serpentine electrodes. The entire structure is fully suspended to minimize parasitic heat leakage to the substrate. Serpentine electrodes are placed at both ends of the device, serving as both heaters and temperature sensors. Serpentine electrode 2 is used to heat the sample, and the thermal conductivity (κ) of the material is extracted from the temperature difference between the two ends of the sample. By swapping the heater and heat-sink ends, the thermal conductivity in different directions can be measured, allowing for the calculation of the thermal rectification coefficient (η). Additionally, the thermal signal is converted into an electrical signal, and the electrical conductivity (σ) and electrical rectification coefficient (δ) of the material can be obtained using electrodes 1, 3, 5, and 7. If the sample under test is a thermoelectric material, the Seebeck coefficient (S) can be measured via electrodes 1 and 7 or electrodes 2 and 6, and the thermoelectric figure of merit (ZT) can be calculated. These parameters are key metrics for assessing the thermoelectric performance of the material. For Hall measurements, a magnetic field is applied perpendicular to the sample plane and to the heat current/electric current direction. If heat flow is used, serpentine electrodes 4 and 8 measure the transverse temperature difference to determine the thermal Hall conductivity (κxy). By applying an electric current through electrodes 1 and 7 and measuring the Hall voltage across electrodes 1 and 3, the Hall coefficient (RH) can be derived, which is then used to calculate the carrier concentration (n) and mobility (μ) within the sample. This method allows for the simultaneous measurement of ten physical parameters on the same sample, and by varying factors such as the material system, sample scale, magnetic field strength, and electric-field (temperature-gradient) magnitude, coupled-transport mechanisms among various carriers can be explored.

Figure 26. Schematic diagram of the magneto-thermal-electrical multiparameter integrated measurement method.
In non-magnetic insulators, phonons are typically the dominant heat carriers, making them ideal platforms for studying phonon transport. Representative non-magnetic insulators include SrTiO3, KTaO3, and black phosphorus. In contrast, magnetic insulators include ferromagnets and antiferromagnets, which host two primary heat carriers: magnons and phonons. However, in most magnetic insulators, researchers typically focus on a single dominant carrier. For instance, the phonon Hall effect has been studied in materials such as Tb3Ga5O12, Nd2CuO4, Sr2CuO2Cl2, Cu3TeO6, and Ba3CuSb2O9, while the magnon Hall effect has been observed in materials like Lu2V2O7, BiMnO3, and Cu(1,3-bdc). In contrast, in two-dimensional van der Waals magnets, magnons and phonons are strongly coupled, producing a significant THE, making these materials ideal for probing magnon–phonon coupling. Similarly, other materials also host multiple types of carriers, such as electrons/phonons in metals, photons in specific systems, excitons, electrons, and phonons in monolayer MoS2, electrons/phonons in non-magnetic semiconductors, and electrons/phonons/magnons in magnetic semiconductors, among others. Thus, varying the material system enables systematic experimental investigations into the transport mechanisms of single or multiple carriers.
Furthermore, existing measurements of THE are concentrated on bulk materials, with sample sizes typically on the millimeter scale. For example, SrTiO3 has dimensions of 5 × 5 × 0.5 mm3, Ca kapellasite is 1 × 1 × 0.1 mm3, and α-RuCl3 measures 2.5 × 1.0 × 0.03 mm3, among related systems. However, as the characteristic length scale decreases, both the material properties and the transport mechanisms of the relevant excitations can change. The method proposed in this paper allows for the fabrication of measurement structures suitable for samples of different scales by scaling the photomask layout, enabling THE measurements across multiple dimensions and characteristic length scales, spanning from the nanoscale to the bulk scale.
In summary, this method enables direct extraction of ten physical parameters on a single specimen. Furthermore, by varying the material system and sample dimensions, it achieves cross-scale THE measurements and simultaneously obtains multiple magneto-thermal-electrical parameters in situ, providing a robust experimental platform for investigating the coupled transport among multiple excitations. Additionally, each parameter can be extracted independently, with minimal cross-talk, improving measurement accuracy and offering a reliable characterization tool for accurately measuring material properties and elucidating microscopic mechanisms in condensed-matter physics.
4. Conclusions and Outlooks
This paper reviews recent research progress on THE, with an emphasis on experimental measurements and theoretical studies. Organized by the types of heat carriers responsible for THE, this paper discusses the microscopic mechanisms underlying the transverse temperature gradient induced across the sample.
First, the electronic THE is widely observed in metallic materials, affecting their thermal transport. Similarly, the photon THE has been observed in specific systems, offering a route to nanoscale thermal management. Next, PHE has been observed in Tb3Ga5O12, for which two mechanisms have been proposed: Raman spin-lattice interaction and phonon resonance skew scattering induced by Tb3+ ions. For the nonmagnetic insulator SrTiO3, where phonons dominate heat transport, the thermal Hall conductivity originates from phonon scattering off domain walls, demonstrating that phonons can generate an enhanced transverse thermal response via skew scattering. In cuprates, the dominant heat carriers have been identified as phonons, and it is predicted that phonon chirality may arise from the coupling between phonons and spins, although the nature of the pseudogap phase in cuprates remains a mystery. Additionally, researchers suggest that phonon chirality may be more common than previously thought, representing a potentially ubiquitous feature in solid materials. Magnons, as collective low-energy excitations in magnets, generate THE through two mechanisms: scalar (spin) chirality and the nonzero DM interaction. A nonzero Berry curvature in momentum space caused by DM interaction provides a well-accepted explanation for the magnon Hall effect. However, in the SL temperature regime, the dominant magnetic excitations evolve from magnons to fractionalized spinons. Excitons, as composite particles, exhibit a thermal Hall angle much larger than that of free electrons, and the transverse signal arises from the intrinsic Berry curvature.
Although the identities of the dominant heat carriers in most materials have been clearly identified, a subset of materials remains controversial. Initially, researchers proposed that the thermal Hall response of Tb2Ti2O7 originated from spin excitations, but when the magnetic-moment dilution was subsequently employed, the thermal Hall conductivity showed signatures consistent with phonon transport, which was in tension with the assumption of magnetic excitation. Nevertheless, this work does not fully rule out the presence of additional magnetic excitations in Tb2Ti2O7, warranting further investigation. Additionally, α-RuCl3 exhibits a large transverse temperature gradient under an applied magnetic field, but there are three proposed interpretations for the relevant heat-carrying excitations: Majorana fermions, phonons, and another type of fermion. Collectively, these phenomena demonstrate that THE in the material is governed by multiple coexisting excitations; a single-carrier picture cannot capture all observed behaviors of the material. Furthermore, apparently discrepant experimental observations may originate from different dominant excitations under different conditions. Two-dimensional van der Waals magnets (ferromagnets and antiferromagnets) combine magnons and phonons, making them promising platforms for studying their coupling. To enable more in-depth research on carrier transport mechanisms, this paper proposes an integrated magneto-thermal-electrical multiparameter measurement method applicable to materials of different scales. By varying approaches such as the material system, sample dimensions, magnetic field strength, and electric-field (temperature-gradient) magnitude, this method enables systematic studies of the coupled transport mechanisms of multiple excitations within materials.
Currently, research on THE has made substantial progress. In particular, with the continuous advancement of experimental techniques and gradual refinement of theoretical models, our understanding of THE has continued to deepen. However, whether in experimental measurements or theoretical studies, studies often focus on specific materials, lacking a unified mechanistic picture and broadly accepted evaluation criteria. In this work, this paper identifies key challenges for THE and future research directions, to promote further progress in THE research.
(1) The experimental samples for THE span a wide range of materials, such as topological materials/systems, strongly correlated electron systems, magnetic materials, and others. The carrier transport mechanisms within these materials are intricate, featuring strong interactions and couplings among excitations. Furthermore, different materials may exhibit unique thermal transport mechanisms, making cross-material comparisons and generalizations across materials particularly challenging[47,156]. Leveraging transport phenomena of dominant carriers in different materials and establishing robust experimental protocols will help establish a unified theoretical framework.
(2) Theoretical models used to explain THE are often based on simplified assumptions and lack a unified framework applicable across materials. The semiclassical Boltzmann model is simple and intuitive but neglects topological quantum effects and strong electronic correlations. The Kubo formula and Berry curvature model are suitable for complex quantum phases, but they are computationally demanding and often neglect scattering and defect effects in real materials. The phonon-magnon models can handle specific types of materials but typically lack universality and quantitative predictive power[157]. Consequently, further refinement and validation of theoretical models remain a direction urgently requiring breakthroughs.
(3) The THE signal is weak and easily influenced by environmental noise and electromagnetic interference[158]. Measurements require well-controlled temperature gradients, and most significant thermal Hall signals emerge exclusively under ultra-low temperatures or strong magnetic fields. Furthermore, with multiple heat carriers present within materials, effectively separating and distinguishing their contributions to κxy and κxx remains a technical challenge[44]. Additionally, as the characteristic dimensions decrease, fabrication, handling, and transfer may also affect the measurement results, posing additional challenges for experimental implementations.
(4) Although many theoretical models have been proposed to explain THE, reconciling experiments with theory remains unresolved. The generation of THE involves the interplay of multiple physical factors, including temperature gradients, magnetic fields, and carrier interactions. Moreover, these factors may be affected by other non-ideal conditions in experiments, such as material inhomogeneity, impurities, and variations in field magnitude and orientation. These factors all influence the experimental results but are difficult to capture quantitatively in theoretical models. Finally, the lack of standardized protocols for THE experiments limits cross-comparability, with outcomes sensitive to multiple factors. Therefore, strengthening the linkage between experimental results and theoretical models remains a key challenge.
(5) This paper proposes a magneto-thermal-electrical multiparameter integrated measurement method suitable for materials of various scales. By adjusting the material system, sample scale, and external field strength, this method enables THE measurements across multiple dimensions and characteristic length scales. This approach allows for the in situ measurement of multiple parameters, such as thermal Hall conductivity (κxy) and Hall coefficient (RH), on the same sample, avoiding structural differences that may arise across separately fabricated specimens. Each parameter can be extracted independently, minimizing cross-talk and providing a reliable platform to probe carrier-transport mechanisms within materials.
(6) Given the coexistence of multiple heat carriers in most materials, decoupling and quantifying their respective contributions to THE remains a core challenge for future research. To overcome this challenge, three feasible strategies are proposed: First, based on the Wiedemann-Franz law, the simultaneous measurement of electrical and thermal Hall conductivities at low temperatures allows for the precise subtraction of the electronic contribution to extract the signals of neutral carriers. Second, by exploiting their distinct responses to external magnetic fields and temperatures, the effective separation of phonons and magnons can be achieved by utilizing the low-field saturation and high-field suppression characteristics of magnons. Third, by introducing non-magnetic impurity doping and relying on the sensitivity of phonons to lattice defects, the dominant contribution of phonons can be confirmed and decoupled by comparing the evolution of the longitudinal and transverse thermal conductivities before and after doping.
As an emerging phenomenon, THE is not only a powerful tool for probing neutral excitations in materials but also a powerful probe of topological properties and quantum phases[159]. For example, in high-temperature superconducting cuprates, researchers have observed significant thermal Hall signals in the strange metal and pseudogap phases proximate to the superconducting dome. Additionally, in materials such as quantum spin liquids and strongly correlated electron systems, thermal Hall measurements are used to discriminate among non-trivial quantum phases, informing condensed-matter physics studies and guiding the development of quantum devices. As a characterization method, THE enables nondestructive access to Berry curvature, band topology, and topological order, providing design guidance for microelectronic, optoelectronic, and spintronic devices. Looking ahead, THE will be widely applied to quantum computing components and spintronic devices, accelerating the development of functional devices.
Acknowledgement
AI was used solely for language editing and polishing of the manuscript. The authors take full responsibility for the integrity, accuracy, and originality of the content.
Authors contribution
Song Z: Conceptualization, methodology, investigation, formal analysis, writing-original draft, writing-review and editing.
Zheng X: Conceptualization, methodology, writing-review and editing.
Zhao H, Wang C, Shen Y, Huang Y, Yang X, Chen H, Zhang T, Xu Y: Supervision.
Conflicts of interest
The authors declare no conflicts of interest.
Ethical approval
Not applicable.
Consent to participate
Not applicable.
Consent for publication
Not applicable.
Availability of data and materials
Not applicable.
Funding
This work was supported by the National Key Research and Development Program of China (2023YFB3809800), the National Natural Science Foundation of China (52172249 and 52525601), the Scientific Instrument Developing Project of the Chinese Academy of Sciences (PTYQ2025TD0018), the Chinese Academy of Sciences Talents Program (E2290701), the Jiangsu Province Talents Program (JSSCRC2023545), and the Special Fund Project of Carbon Peaking Carbon Neutrality Science and Technology Innovation of Jiangsu Province (BE2022011).
Copyright
© The Author(s) 2026.
References
-
1. Xiao Y, Deng H, Xie Z, He W. Application of nanoporous super thermal insulation material in the prevention and control of thermal hazards in deep mining of metal mines. J Nanomater. 2022;2022:2390616.[DOI]
-
2. Angirasa D. Experimental investigation of forced convection heat transfer augmentation with metallic fibrous materials. Int J Heat Mass Transf. 2002;45(4):919-922.[DOI]
-
3. Jood P, Mehta RJ, Zhang Y, Borca-Tasciuc T, Dou SX, Singh DJ, et al. Heavy element doping for enhancing thermoelectric properties of nanostructured zinc oxide. RSC Adv. 2014;4(13):6363-6368.[DOI]
-
4. Shi L, Li D, Yu C, Jang W, Kim D, Yao Z, et al. Measuring thermal and thermoelectric properties of one-dimensional nanostructures using a microfabricated device. J Heat Transf. 2003;125(5):881-888.[DOI]
-
5. Petermann N, Stein N, Schierning G, Theissmann R, Stoib B, Brandt MS, et al. Plasma synthesis of nanostructures for improved thermoelectric properties. J Phys D: Appl Phys. 2011;44(17):174034.[DOI]
-
6. Wen Y, Zhou J. Metamaterial route to direct photoelectric conversion. Mater Today. 2019;23:37-44.[DOI]
-
7. BaQais A, Curutchet A, Ziani A, Ait Ahsaine H, Sautet P, Takanabe K, et al. Bismuth silver oxysulfide for photoconversion applications: Structural and optoelectronic properties. Chem Mater. 2017;29(20):8679-8689.[DOI]
-
8. Lo CW, Li C, Jiang H. Direct solar energy conversion and storage through coupling between photoelectrochemical and ferroelectric effects. AIP Adv. 2011;1(4):042104.[DOI]
-
9. Kishore RA, Priya S. Low-grade waste heat recovery using the reverse magnetocaloric effect. Sustainable Energy Fuels. 2017;1(9):1899-1908.[DOI]
-
10. Rodovalho FL, Capistrano G, Gomes JA, Sodré FF, Chaker JA, Campos AFC, et al. Elaboration of magneto-thermally recyclable nanosorbents for remote removal of toluene in contaminated water using magnetic hyperthermia. Chem Eng J. 2016;302:725-732.[DOI]
-
11. Sun P, Li C, Xu J, Jiang Q, Wang W, Liu J, et al. Effect of Sn element on optimizing thermoelectric performance of Te nanowires. Sustain Energy Fuels. 2018;2(12):2636-2643.[DOI]
-
12. Szczech JR, Higgins JM, Jin S. Enhancement of the thermoelectric properties in nanoscale and nanostructured materials. J Mater Chem. 2011;21(12):4037-4055.[DOI]
-
15. Wang H, Luo X, Chen W, Wang N, Lei B, Meng F, et al. Magnetic-field enhanced high-thermoelectric performance in topological Dirac semimetal Cd3As2 crystal. Sci Bull. 2018;63(7):411-418.[DOI]
-
16. Xu R, Huang L, Zhang J, Li D, Liu J, Liu J, et al. Nanostructured SnSe integrated with Se quantum dots with ultrahigh power factor and thermoelectric performance from magnetic field-assisted hydrothermal synthesis. J Mater Chem A. 2019;7(26):15757-15765.[DOI]
-
19. von Klitzing K, Chakraborty T, Kim P, Madhavan V, Dai X, McIver J, et al. 40 years of the quantum Hall effect. Nat Rev Phys. 2020;2(8):397-401.[DOI]
-
20. Sprinkart N, Scheer E, Di Bernardo A. Tutorial: From topology to Hall effects: Implications of berry phase physics. J Low Temp Phys. 2024;217(5-6):686-719.[DOI]
-
21. Cayssol J, Fuchs JN. Topological and geometrical aspects of band theory. J Phys Mater. 2021;4(3):034007.[DOI]
-
22. Araki H, Mizoguchi T, Hatsugai Y. ZQBerry phase for higher-order symmetry-protected topological phases. Phys Rev Research. 2020;2:012009.[DOI]
-
23. Zeng C, Nandy S, Tewari S. Fundamental relations for anomalous thermoelectric transport coefficients in the nonlinear regime. Phys Rev Research. 2020;2(3):032066.[DOI]
-
24. Zhang L, Ren J, Wang JS, Li B. Topological nature of the phonon Hall effect. Phys Rev Lett. 2010;105(22):225901.[DOI]
-
25. Qin T, Zhou J, Shi J. Berry curvature and the phonon Hall effect. Phys Rev B. 2012;86(10):104305.[DOI]
-
26. Zhou B, Zeng R, Zhou B, Zhou X, Yang K, Zhou G. Light-induced anomalous Hall, Nernst, and thermal Hall effects in black phosphorus thin films. Phys Rev B. 2024;110(12):125411.[DOI]
-
27. Ideue T, Onose Y, Katsura H, Shiomi Y, Ishiwata S, Nagaosa N, et al. Effect of lattice geometry on magnon Hall effect in ferromagnetic insulators. Phys Rev B. 2012;85(13):134411.[DOI]
-
28. Atou T, Chiba H, Ohoyama K, Yamaguchi Y, Syono Y. Structure determination of ferromagnetic perovskite BiMnO3. J Solid State Chem. 1999;145(2):639-642.[DOI]
-
33. Zhou X, Wu W, Sui Y, Yang YF, Luo J. Large thermal Hall effect in spinel FeCr2S4. Adv Funct Mater. 2024;34(16):2304921.[DOI]
-
35. Zhang L. Berry curvature and various thermal Hall effects. New J Phys. 2016;18(10):103039.[DOI]
-
36. Sheng L, Sheng DN, Ting CS. Theory of the phonon Hall effect in paramagnetic dielectrics. Phys Rev Lett. 2006;96(15):155901.[DOI]
-
43. Madon B, Pham DC, Wegrowe JE, Lacour D, Hehn M, Polewczyk V, et al. Anomalous and planar Righi-Leduc effects in Ni80 Fe20 ferromagnets. Phys Rev B. 2016;94(14):144423.[DOI]
-
46. Ataei A, Grissonnanche G, Boulanger ME, Chen L, Lefrançois É, Brouet V, et al. Phonon chirality from impurity scattering in the antiferromagnetic phase of Sr2IrO4. Nat Phys. 2024;20(4):585-588.[DOI]
-
49. Hao X, Cheng SF, Song B, Wen JS. Experimental progress in thermal Hall conductivity research on strongly correlated electronic systems. Prog Phys. 2022;42(5):159-183. Chinese.[DOI]
-
51. Hong M, Li M, Wang Y, Shi XL, Chen ZG. Advances in versatile GeTe thermoelectrics from materials to devices. Adv Mater. 2023;35(2):2208272.[DOI]
-
52. Chorsi H, Cheng B, Zhao B, Toudert J, Asadchy V, Shoron OF, et al. Topological materials for functional optoelectronic devices. Adv Funct Mater. 2022;32(19):2110655.[DOI]
-
53. Cui C, Xue F, Hu WJ, Li LJ. Two-dimensional materials with piezoelectric and ferroelectric functionalities. npj 2D Mater Appl. 2018;2:18.[DOI]
-
54. Wang H, Li X, Wen Y, Cheng R, Yin L, Liu C, et al. Two-dimensional ferromagnetic materials: From materials to devices. Appl Phys Lett. 2022;121(22):220501.[DOI]
-
55. Li T, Wu M, Wu S, Xiang S, Xu J, Chao J, et al. Highly conductive phase change composites enabled by vertically-aligned reticulated graphite nanoplatelets for high-temperature solar photo/electro-thermal energy conversion, harvesting and storage. Nano Energy. 2021;89:106338.[DOI]
-
56. Lei Y. Functional nanostructuring for efficient energy conversion and storage. Adv Energy Mater. 2016;6(23):1600461.[DOI]
-
57. Wang L, Cheng H, Li P, van Hees YLW, Liu Y, Cao K, et al. Picosecond optospintronic tunnel junctions. Proc Natl Acad Sci U S A. 2022;119(24):e2204732119.[DOI]
-
59. Branford W, Han X, Zhang S. Materials, physics, and devices of magnonics. Appl Phys Lett. 2024;125(20):200402.[DOI]
-
61. Meng T, Zhang X, Yao J, Zhang W, Zhong H, Zhu H, et al. Quantum confinement and energy filtering effect enhancing the thermoelectric power factor of InGaAs with buried ErAs nanoparticles. Appl Phys Lett. 2024;125(4):044003.[DOI]
-
62. Hung NT, Saito R. The origin of quantum effects in low-dimensional thermoelectric materials. Adv Quantum Tech. 2021;4:2000115.[DOI]
-
63. Poljak I, Županović P, Barbir F. Measurement of proton concentration in PEM by Hall effect. Fuel Cells. 2018;18(4):408-412.[DOI]
-
64. Ogawa R, Okada T, Takahashi H, Nabeshima F, Maeda A. Microwave Hall effect measurement for materials in the skin depth region. J Appl Phys. 2021;129:015102.[DOI]
-
65. Yu L, Zhang Y, Huang W. Accurate and efficient torque control of an interior permanent magnet synchronous motor in electric vehicles based on Hall-effect sensors. Energies. 2017;10(3):410.[DOI]
-
66. Li S, Guo J, Lu X, Liu B, Shu Q. Design of plastic sealed brushless motor controller based on Hall effect. J Phys: Conf Ser. 2023;2636(1):012049.[DOI]
-
67. Jiang ZQ, Li WJ, Xu ZX, Tang HW, Wang M, Chang J, et al. Photonic spin-hall logic devices based on programmable spoof plasmonic metamaterial. Laser Photonics Rev. 2024;18(8):2301371.[DOI]
-
69. Hou JT, Chou CT, Han J, Fan Y, Liu L. Electrical manipulation of dissipation in microwave photon–magnon hybrid system through the spin Hall effect. Appl Phys Lett. 2024;124(7):072401.[DOI]
-
70. Newrock RS, Maxfield BW. Transverse thermal magnetoresistance of potassium. J Low Temp Phys. 1976;23(1):119-142.[DOI]
-
71. Tausch PJ, Newrock RS. High-field Righi-Leduc effect and lattice thermal conductivity of potassium. Phys Rev B. 1977;16(12):5381-5389.[DOI]
-
73. Shiomi Y, Onose Y, Tokura Y. Extrinsic anomalous Hall effect in charge and heat transport in pure iron, Fe0.997Si0.003, and Fe0.97Co0.03. Phys Rev B. 2009;79(10):100404.[DOI]
-
75. Baek I, Kim KW, Han JH, Lee HW. Anomalous thermal Hall conductivity of ferromagnetic transition metals. Phys Rev B. 2024;109(11):115113.[DOI]
-
77. Yan Y, Ye W, Wu H, Zhao H. Electronic thermal Hall effect in silicene. Eur Phys J B. 2017;90(10):195.[DOI]
-
80. Ferreiros Y, Zyuzin AA, Bardarson JH. Anomalous Nernst and thermal Hall effects in tilted Weyl semimetals. Phys Rev B. 2017;96(11):115202.[DOI]
-
81. Shitade A. Anomalous thermal Hall effect in a disordered weyl ferromagnet. J Phys Soc Jpn. 2017;86(5):054601.[DOI]
-
82. Nakai R, Nagaosa N. Nonreciprocal thermal and thermoelectric transport of electrons in noncentrosymmetric crystals. Phys Rev B. 2019;99(11):115201.[DOI]
-
83. López R, Sánchez D. Nonlinear heat transport in mesoscopic conductors: Rectification, Peltier effect, and Wiedemann-Franz law. Phys Rev B. 2013;88(4):045129.[DOI]
-
84. Choi J, Neupane MB, Vilela-Leão LH, Belbase BP, Unnikrishnan A, Zaidi SN, et al. Wiedemann-Franz violation and thermal Hall effect in kagome metal TbCr6Ge6. arXiv:2512.16868 [Preprint]. 2025.[DOI]
-
85. Rikken GLJA, van Tiggelen BA. Observation of magnetically induced transverse diffusion of light. Nature. 1996;381(6577):54-55.[DOI]
-
86. Düchs G, Sparenberg A, Rikken GLJA, van Tiggelen BA. Photonic Hall effect of inactive Mie scatterers in a Faraday active matrix. Phys Rev E. 2000;62(2):2840-2845.[DOI]
-
88. Mrzyglod A, Weis O. Scattering of thermal phonon pulses by isotopes in silicon. Z Für Phys B Condens Matter. 1995;97(1):103-112.[DOI]
-
89. Guo C, Guo Y, Fan S. Relation between photon thermal Hall effect and persistent heat current in nonreciprocal radiative heat transfer. Phys Rev B. 2019;100(20):205416.[DOI]
-
90. Zhu L, Guo Y, Fan S. Theory of many-body radiative heat transfer without the constraint of reciprocity. Phys Rev B. 2018;97(9):094302.[DOI]
-
92. Biehs SA, Latella I. On persistent energy currents at equilibrium in non-reciprocal systems. J Quant Spectrosc Radiat Transf. 2025;347:109660.[DOI]
-
93. Ott A, Biehs SA, Ben-Abdallah P. Anomalous photon thermal Hall effect. Phys Rev B. 2020;101(24):241411.[DOI]
-
94. Xu SY, Belopolski I, Alidoust N, Neupane M, Bian G, Zhang C, et al. Discovery of a Weyl fermion semimetal and topological Fermi arcs. Science. 2015;349(6248):613-617.[DOI]
-
100. Inyushkin AV, Taldenkov AN. On the phonon Hall effect in a paramagnetic dielectric. JETP Lett. 2007;86(6):379-382.[DOI]
-
101. Slack GA, Oliver DW. Thermal conductivity of garnets and phonon scattering by rare-earth ions. Phys Rev B. 1971;4(2):592-609.[DOI]
-
103. Garten LM, Burch M, Gupta AS, Haislmaier R, Gopalan V, Dickey EC, et al. Relaxor ferroelectric behavior in barium strontium titanate. J Am Ceram Soc. 2016;99(5):1645-1650.[DOI]
-
107. Han JH, Park JH, Lee PA. Consideration of thermal Hall effect in undoped cuprates. Phys Rev B. 2019;99(20):205157.[DOI]
-
108. Samajdar R, Scheurer MS, Chatterjee S, Guo H, Xu C, Sachdev S. Enhanced thermal Hall effect in the square-lattice Néel state. Nat Phys. 2019;15(12):1290-1294.[DOI]
-
109. Varma CM. Thermal Hall effect in the pseudogap phase of cuprates. Phys Rev B. 2020;102(7):075113.[DOI]
-
110. Fang Y, Grissonnanche G, Legros A, Verret S, Laliberté F, Collignon C, et al. Fermi surface transformation at the pseudogap critical point of a cuprate superconductor. Nat Phys. 2022;18(5):558-564.[DOI]
-
111. Collignon C, Badoux S, Afshar SA, Michon B, Laliberté F, Cyr-Choinière O, et al. Fermi-surface transformation across the pseudogap critical point of the cuprate superconductor La1.6-xNd0.4 SrxCuO4. arXiv:1607.05693 [Preprint]. 2017.[DOI]
-
113. Badoux S, Tabis W, Laliberté F, Grissonnanche G, Vignolle B, Vignolles D, et al. Change of carrier density at the pseudogap critical point of a cuprate superconductor. Nature. 2016;531(7593):210-214.[DOI]
-
114. Chen L, Le Roux L, Grissonnanche G, Boulanger ME, Thériault S, Liang R, et al. Planar thermal Hall effect from phonons in cuprates. Phys Rev X. 2024;14(4):041011.[DOI]
-
117. Hu J, Xu H, Yao J, Gu G, Li Q, Ong NP. High-resolution measurements of thermal conductivity matrix and search for thermal hall effect in La2CuO4. arXiv:2507.21403 [Preprint]. 2025.[DOI]
-
119. Dzyaloshinsky I. A thermodynamic theory of “weak” ferromagnetism of antiferromagnetics. J Phys Chem Solids. 1958;4(4):241-255.[DOI]
-
122. Jin XB, Zhang X, Wan WB, Wang HR, Jiao YH, Li SY. Discovery of universal phonon thermal Hall effect in crystals. Phys Rev Lett. 2025;135(19):196302.[DOI]
-
124. Kittel C. On the theory of ferromagnetic resonance absorption. Phys Rev. 1948;73(2):155-161.[DOI]
-
126. Oh T, Nagaosa N. Phonon thermal Hall effect in Mott insulators via skew scattering by the scalar spin chirality. Phys Rev X. 2025;15:011036.[DOI]
-
128. Xu C, Zhang H, Carnahan C, Zhang P, Xiao D, Ke X. Thermal Hall effect in the van der Waals ferromagnet CrI3. Phys Rev B. 2024;109(9):094415.[DOI]
-
129. Xu C, Carnahan C, Zhang H, Sretenovic M, Zhang P, Xiao D, et al. Thermal Hall effect in a van der Waals triangular magnet FeCl2. Phys Rev B. 2023;107(6):L060404.[DOI]
-
130. Nawwar M, Neumann RR, Wen J, Mertig I, Mook A, Heremans JP. Large thermal Hall effect in MnPS3. Rep Prog Phys. 2025;88(8):080503.[DOI]
-
131. Leyder C, Romanelli M, Karr JP, Giacobino E, Liew TCH, Glazov MM, et al. Observation of the optical spin Hall effect. Nat Phys. 2007;3(9):628-631.[DOI]
-
132. Banerjee R, Mandal S, Liew TCH. Optically induced topological spin-valley Hall effect for exciton polaritons. Phys Rev B. 2021;103(20):L201406.[DOI]
-
133. Taghizadeh A, Pedersen TG. Nonlinear excitonic spin Hall effect in monolayer transition metal dichalcogenides. 2D Mater. 2020;7(1):015003.[DOI]
-
134. Chen G. Spectral periodicity of the spinon continuum in quantum spin ice. Phys Rev B. 2017;96(8):085136.[DOI]
-
135. Hirschberger M, Krizan JW, Cava RJ, Ong NP. Large thermal Hall conductivity of neutral spin excitations in a frustrated quantum magnet. Science. 2015;348(6230):106-109.[DOI]
-
136. Hirschberger M, Czajka P, Koohpayeh SM, Wang W, Ong NP. Enhanced thermal Hall conductivity below 1 Kelvin in the pyrochlore magnet Y2Ti2O7. arXiv:1903.00595 [Preprint]. 2019.[DOI]
-
137. Hirokane Y, Nii Y, Tomioka Y, Onose Y. Phononic thermal Hall effect in diluted terbium oxides. Phys Rev B. 2019;99(13):134419.[DOI]
-
138. Li QJ, Zhao ZY, Fan C, Zhang FB, Zhou HD, Zhao X, et al. Phonon-glass-like behavior of magnetic origin in single-crystal Tb2Ti2O7. Phys Rev B. 2013;87(21):214408.[DOI]
-
139. Sharma R, Valldor M, Lorenz T. Phonon thermal Hall effect in nonmagnetic Y2Ti2O7. Phys Rev B. 2024;110(10):L100301.[DOI]
-
142. Savary L, Balents L. Quantum spin liquids: A review. Rep Prog Phys. 2017;80(1):016502.[DOI]
-
144. Read N, Green D. Paired states of fermions in two dimensions with breaking of parity and time-reversal symmetries and the fractional quantum Hall effect. Phys Rev B. 2000;61(15):10267-10297.[DOI]
-
145. Sumiyoshi H, Fujimoto S. Quantum thermal Hall effect in a time-reversal-symmetry-broken topological superconductor in two dimensions: Approach from bulk calculations. J Phys Soc Jpn. 2013;82(2):023602.[DOI]
-
147. Nasu J, Yoshitake J, Motome Y. Thermal transport in the kitaev model. Phys Rev Lett. 2017;119(12):127204.[DOI]
-
148. Kitaev A. Anyons in an exactly solved model and beyond. Ann Phys. 2006;321(1):2-111.[DOI]
-
150. Hentrich R, Roslova M, Isaeva A, Doert T, Brenig W, Büchner B, et al. Large thermal Hall effect in α–RuCl3: Evidence for heat transport by Kitaev-Heisenberg paramagnons. Phys Rev B. 2019;99(8):085136.[DOI]
-
152. Yamashita M, Gouchi J, Uwatoko Y, Kurita N, Tanaka H. Sample dependence of half-integer quantized thermal Hall effect in the Kitaev spin-liquid candidate α-RuCl3. Phys Rev B. 2020;102(22):220404.[DOI]
-
154. Lefrançois É, Grissonnanche G, Baglo J, Lampen-Kelley P, Yan JQ, Balz C, et al. Evidence of a phonon Hall effect in the Kitaev spin liquid candidate α-RuCl3. Phys Rev X. 2022;12(2):021025.[DOI]
-
155. Czajka P, Gao T, Hirschberger M, Lampen-Kelley P, Banerjee A, Yan J, et al. Oscillations of the thermal conductivity in the spin-liquid state of α-RuCl3. Nat Phys. 2021;17(8):915-919.[DOI]
-
156. Sharma R, Bagchi M, Wang Y, Ando Y, Lorenz T. Phonon thermal Hall effect in charge-compensated topological insulators. Phys Rev B. 2024;109(10):104304.[DOI]
-
158. Kojda D, Sigusch I, Klemke B, Gerischer S, Kiefer K, Fritsch K, et al. Advancing the precision of thermal Hall measurements for novel materials research. Mater Des. 2024;237:112595.[DOI]
-
159. Yang H, Kim C, Choi Y, Lee JH, Lin G, Ma J, et al. Significant thermal Hall effect in the 3d cobalt Kitaev system Na2Co2TeO6. Phys Rev B. 2022;106(8):L081116.[DOI]
Copyright
© The Author(s) 2026. This is an Open Access article licensed under a Creative Commons Attribution 4.0 International License (https://creativecommons.org/licenses/by/4.0/), which permits unrestricted use, sharing, adaptation, distribution and reproduction in any medium or format, for any purpose, even commercially, as long as you give appropriate credit to the original author(s) and the source, provide a link to the Creative Commons license, and indicate if changes were made.
Publisher’s Note
Share And Cite



